Suppr超能文献

大气污染与母婴个体和社区水平应激源相关的出生体重。

Association Between Ambient Air Pollution and Birth Weight by Maternal Individual- and Neighborhood-Level Stressors.

机构信息

Department of Population and Public Health Sciences, Keck School of Medicine, University of Southern California, Los Angeles.

Department of Obstetrics and Gynecology, University of Southern California, Los Angeles.

出版信息

JAMA Netw Open. 2022 Oct 3;5(10):e2238174. doi: 10.1001/jamanetworkopen.2022.38174.

Abstract

IMPORTANCE

Fetal growth is precisely programmed and could be interrupted by environmental exposures during specific times during pregnancy. Insights on potential sensitive windows of air pollution exposure in association with birth weight are needed.

OBJECTIVE

To examine the association of sensitive windows of ambient air pollution exposure with birth weight and heterogeneity by individual- and neighborhood-level stressors.

DESIGN, SETTING, AND PARTICIPANTS: Data on a cohort of low-income Hispanic women with singleton term pregnancy were collected from 2015 to 2021 in the ongoing Maternal and Developmental Risks from Environmental and Social Stressors cohort in Los Angeles, California.

EXPOSURES

Daily ambient particulate matter with aerodynamic diameter less than 10 μm (PM10) and aerodynamic diameter less than 2.5 μm (PM2.5), nitrogen dioxide (NO2), and 8-hour maximum ozone were assigned to residential locations. Weekly averages from 12 weeks before conception to 36 gestational weeks were calculated. Individual-level psychological stressor was measured by the Perceived Stress Scale. Neighborhood-level stressor was measured by the CalEnviroScreen 4.0.

MAIN OUTCOMES AND MEASURES

Sex-specific birth weight for gestational age z score (BWZ). The associations between air pollutant and BWZ were estimated using distributed lag models to identify sensitive windows of exposure, adjusting for maternal and meteorologic factors. We stratified the analyses by Perceived Stress Scale and CalEnviroScreen 4.0. We converted the effect size estimation in BWZ to grams to facilitate interpretation.

RESULTS

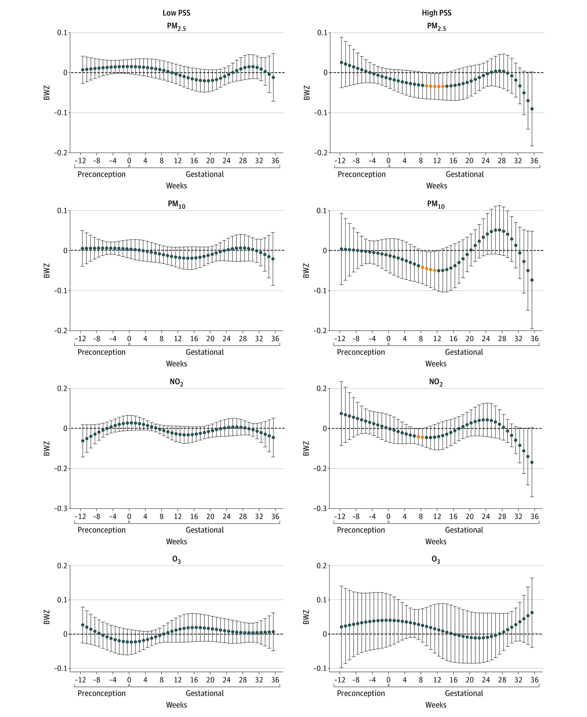
The study included 628 pregnant women (mean [SD] age, 22.18 [5.92] years) and their newborns (mean [SD] BWZ, -0.08 [1.03]). On average, an interquartile range (IQR) increase in PM2.5 exposure during 4 to 22 gestational weeks was associated with a -9.5 g (95% CI, -10.4 to -8.6 g) change in birth weight. In stratified models, PM2.5 from 4 to 24 gestational weeks was associated with a -34.0 g (95% CI, -35.7 to -32.4 g) change in birth weight and PM10 from 9 to 14 gestational weeks was associated with a -39.4 g (95% CI, -45.4 to -33.4) change in birth weight in the subgroup with high Perceived Stress Scale and high CalEnviroScreen 4.0 scores. In this same group, NO2 from 9 to 14 gestational weeks was associated with a -40.4 g (95% CI, -47.4 to -33.3 g) change in birth weight and, from 33 to 36 gestational weeks, a -117.6 g (95% CI, -125.3 to -83.7 g) change in birth weight. Generally, there were no significant preconception windows for any air pollutants or ozone exposure with birth weight.

CONCLUSIONS AND RELEVANCE

In this cohort study, early pregnancy to midpregnancy exposures to PM2.5, PM10, and NO2 were associated with lower birth weight, particularly for mothers experiencing higher perceived stress and living in a neighborhood with a high level of stressors from environmental pollution.

摘要

重要性

胎儿的生长是精确编程的,并且可能会在怀孕期间的特定时间段内被环境暴露所中断。需要了解与出生体重相关的潜在空气污染敏感窗口期。

目的

研究个体和社区层面压力源与出生体重和异质性相关的环境空气污染敏感窗口期。

设计、设置和参与者:在加利福尼亚州洛杉矶的正在进行的环境和社会压力源对母婴风险的研究中,从 2015 年至 2021 年,收集了低收入西班牙裔妇女的队列数据,这些妇女的单胎足月妊娠。

暴露情况

每天的大气动力学直径小于 10μm 的颗粒物(PM10)和小于 2.5μm 的颗粒物(PM2.5)、二氧化氮(NO2)和 8 小时最大臭氧被分配到居住地点。从受孕前 12 周到 36 孕周计算每周的平均值。个体水平的心理压力源通过感知压力量表进行测量。社区层面的压力源通过 CalEnviroScreen 4.0 进行测量。

主要结果和措施

按胎龄性别特异性出生体重 z 评分(BWZ)。使用分布式滞后模型估计空气污染物与 BWZ 之间的关联,以确定暴露的敏感窗口,同时调整母体和气象因素。我们按感知压力量表和 CalEnviroScreen 4.0 进行分层分析。我们将 BWZ 的效应大小估计转换为克,以方便解释。

结果

该研究纳入了 628 名孕妇(平均[SD]年龄,22.18[5.92]岁)及其新生儿(平均[SD]BWZ,-0.08[1.03])。平均而言,妊娠 4 至 22 周时 PM2.5 暴露量的一个四分位距(IQR)增加与出生体重下降 9.5g(95%CI,-10.4 至-8.6g)有关。在分层模型中,妊娠 4 至 24 周时 PM2.5 与出生体重下降 34.0g(95%CI,-35.7 至-32.4g)有关,妊娠 9 至 14 周时 PM10 与出生体重下降 39.4g(95%CI,-45.4 至-33.4g)有关,在感知压力量表和 CalEnviroScreen 4.0 得分较高的亚组中。在同一亚组中,妊娠 9 至 14 周时的 NO2 与出生体重下降 40.4g(95%CI,-47.4 至-33.3g)有关,妊娠 33 至 36 周时与出生体重下降 117.6g(95%CI,-125.3 至-83.7g)有关。一般来说,对于任何空气污染物或臭氧暴露,出生体重都没有明显的受孕前窗口期。

结论和相关性

在这项队列研究中,妊娠早期至中期暴露于 PM2.5、PM10 和 NO2 与出生体重较低有关,特别是对于那些经历较高感知压力和生活在环境污染物压力源水平较高的社区的母亲。

https://cdn.ncbi.nlm.nih.gov/pmc/blobs/75bd/9597392/c2021a851b04/jamanetwopen-e2238174-g001.jpg

文献AI研究员

20分钟写一篇综述,助力文献阅读效率提升50倍。

立即体验

用中文搜PubMed

大模型驱动的PubMed中文搜索引擎

马上搜索

文档翻译

学术文献翻译模型,支持多种主流文档格式。

立即体验