Suppr超能文献

纳米黏土的叶面喷施促进马铃薯(L.)生长并诱导对马铃薯 Y 病毒的系统抗性。

Foliar Application of Nanoclay Promotes Potato ( L.) Growth and Induces Systemic Resistance against Potato Virus Y.

机构信息

Plant Protection and Biomolecular Diagnosis Department, Arid Lands Cultivation Research Institute, City of Scientific Research and Technological Applications, New Borg El Arab City 21934, Egypt.

Department of Botany and Microbiology, College of Science, King Saud University, P.O. Box 2455, Riyadh 11451, Saudi Arabia.

出版信息

Viruses. 2022 Sep 29;14(10):2151. doi: 10.3390/v14102151.

Abstract

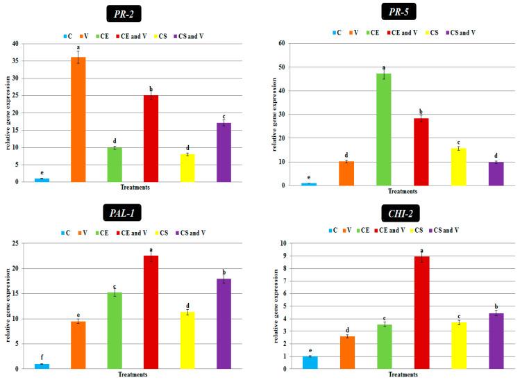
Potato virus Y (PVY) is one of the most harmful phytopathogens. It causes big problems for potatoes and other important crops around the world. Nanoclays have been extensively studied for various biomedical applications. However, reports on their interactions with phytopathogens, particularly viral infections, are still limited. In this study, the protective activity of Egyptian nanoclay (CE) and standard nanoclay (CS) against PVY was evaluated on potato ( L.) plants. Their physicochemical and morphological properties were examined with scanning electron microscopy (SEM), transmission electron microscopy (TEM), Fourier-transform infrared spectroscopy (FTIR), and energy dispersive spectrometer (EDS). SEM and TEM analyses revealed that CE has a spherical and hexagonal structure ranging from 20 to 80 nm in size, while CS has boulder-like and tubular structures of about 320 nm in size. FTIR and EDS showed that both nanoclay types have different functional groups and contain many vital plant nutrients that are necessary for every stage and process of the plant, including development, productivity, and metabolism. Under greenhouse conditions, a 1% nanoclay foliar application enhanced potato growth, reduced disease symptoms, and reduced PVY accumulation levels compared with non-treated plants. Significant increases in levels of antioxidant enzymes (PPO and POX) and considerable decreases in oxidative stress markers (MDA and HO) were also reported. Moreover, a significant increase in the transcriptional levels of defense-related genes (, , and ) was observed. All experiment and analysis results indicate that the CE type is more effective than the CS type against PVY infection. Based on these results, the foliar applications of nanoclay could be used to manage plant viral infections in a way that is both effective and environmentally friendly. To our knowledge, this is the first report of the antiviral activity of the foliar application of nanoclay against PVY infection.

摘要

马铃薯 Y 病毒(PVY)是最具危害性的植物病原体之一。它给世界各地的土豆和其他重要作物造成了严重问题。纳米粘土在各种生物医学应用中得到了广泛研究。然而,关于它们与植物病原体,特别是病毒感染相互作用的报道仍然有限。在这项研究中,评估了埃及纳米粘土(CE)和标准纳米粘土(CS)对马铃薯(L.)植株上 PVY 的保护活性。使用扫描电子显微镜(SEM)、透射电子显微镜(TEM)、傅里叶变换红外光谱(FTIR)和能量色散光谱仪(EDS)对其物理化学和形态特性进行了检查。SEM 和 TEM 分析表明,CE 具有球形和六方结构,尺寸范围为 20 至 80nm,而 CS 具有大小约为 320nm 的巨石状和管状结构。FTIR 和 EDS 表明,这两种纳米粘土类型具有不同的官能团,并且含有许多对植物每个阶段和过程都必不可少的重要植物营养物质,包括发育、生产力和新陈代谢。在温室条件下,与未处理的植物相比,1%纳米粘土叶面喷施可增强马铃薯的生长,减轻病害症状,并降低 PVY 的积累水平。还报告了抗氧化酶(PPO 和 POX)水平的显著增加和氧化应激标志物(MDA 和 HO)的显著降低。此外,观察到防御相关基因(、和)的转录水平显著增加。所有实验和分析结果表明,CE 型比 CS 型对 PVY 感染更有效。基于这些结果,纳米粘土的叶面喷施可以用于以有效和环保的方式管理植物病毒感染。据我们所知,这是首次报道纳米粘土叶面喷施对 PVY 感染的抗病毒活性。

https://cdn.ncbi.nlm.nih.gov/pmc/blobs/4f4c/9609605/f5342f2aba9d/viruses-14-02151-g001.jpg

文献AI研究员

20分钟写一篇综述,助力文献阅读效率提升50倍。

立即体验

用中文搜PubMed

大模型驱动的PubMed中文搜索引擎

马上搜索

文档翻译

学术文献翻译模型,支持多种主流文档格式。

立即体验