Suppr超能文献

研究纳米硒和纳米黏土饲料添加剂对欧洲鲈鱼(Dicentrarchus labrax)白细胞介素基因、免疫和生长速度的影响。

Exploring the impact of nano-Se and nano-clay feed supplements on interleukin genes, immunity and growth rate in European Sea Bass (Dicentrarchus labrax).

机构信息

Animal and Fish Production Department, Faculty of Agriculture (Saba Basha), Alexandria University, Alexandria City, 21531, Egypt.

Chemistry Department, Biochemistry Division, Faculty of Science, El-Fayoum University, El-Fayoum, Egypt.

出版信息

Sci Rep. 2024 Feb 1;14(1):2631. doi: 10.1038/s41598-024-53274-y.

Abstract

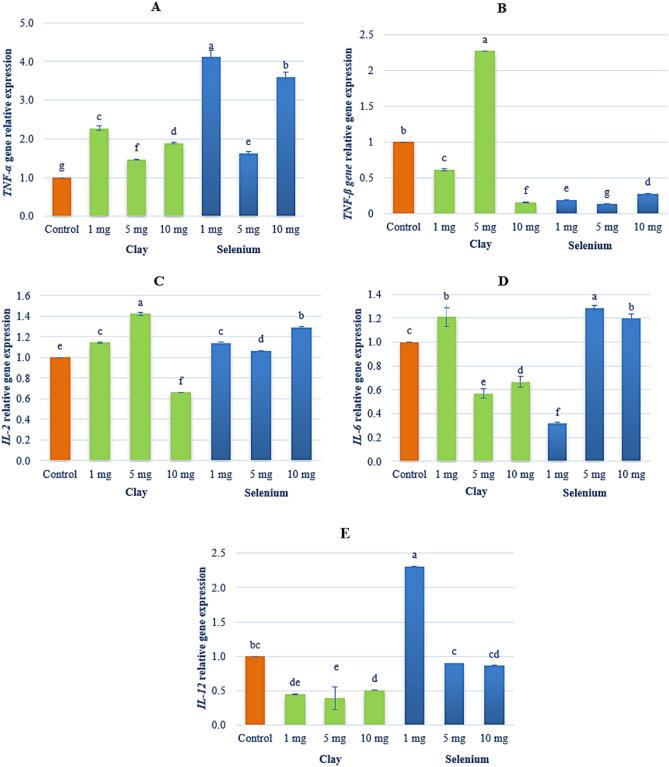
This study aimed to investigate the effects of adding Nano-Selenium (NSe) and Nano-clay (NC) as feed supplements on European Sea Bass (Dicentrarchus labrax). Two separate experiments were conducted, one with NC and the other with NSe. Each experiment consisted of four sub-groups with varying concentrations of NC or NSe. The expression levels of five immune-related genes (TNF-α, TNF-β, IL-2, IL-6 and IL-12) were measured using Real-time Quantitative PCR (Rt-PCR) Assay. The results showed an increase in the expression of interleukins (IL-2, IL-6 and IL-12) and pro-inflammatory cytokines (TNF-α and TNF-β) after exposure to NC and NSe. TNF-α gene expression was significantly higher with both 1 mg and 10 mg concentrations of NC and NSe. TNF-β gene expression was highest with the 5 mg concentration of NC. The concentrations of 1 mg and 10 mg for NC, and 1 mg, 5 mg, and 10 mg for NSe, led to the highest (p < 0.05) levels of IL-2 expression compared to the control. Similar trends were observed for IL-6 and IL-12 gene expression. Understanding the impact of these concentrations on gene expression, growth rate, biochemical indices, and antioxidant status can provide valuable insights into the potential applications of NC and NSe supplements on European Sea Bass.

摘要

本研究旨在探讨纳米硒(NSe)和纳米粘土(NC)作为饲料添加剂对欧洲海鲈(Dicentrarchus labrax)的影响。进行了两项独立的实验,一项是关于 NC 的,另一项是关于 NSe 的。每个实验都由四个亚组组成,每个亚组的 NC 或 NSe 浓度不同。使用实时定量 PCR(Rt-PCR)测定法测量了五种免疫相关基因(TNF-α、TNF-β、IL-2、IL-6 和 IL-12)的表达水平。结果表明,暴露于 NC 和 NSe 后,白细胞介素(IL-2、IL-6 和 IL-12)和促炎细胞因子(TNF-α 和 TNF-β)的表达增加。TNF-α 基因的表达在 NC 和 NSe 的 1mg 和 10mg 浓度下均显著升高。TNF-β 基因的表达在 NC 的 5mg 浓度下最高。NC 的 1mg 和 10mg 浓度以及 NSe 的 1mg、5mg 和 10mg 浓度导致 IL-2 表达最高(p<0.05)与对照组相比。IL-6 和 IL-12 基因表达也观察到类似的趋势。了解这些浓度对基因表达、生长率、生化指标和抗氧化状态的影响,可以为 NC 和 NSe 补充剂在欧洲海鲈中的潜在应用提供有价值的见解。

https://cdn.ncbi.nlm.nih.gov/pmc/blobs/10b2/10834503/592bfcbf5fb3/41598_2024_53274_Fig9_HTML.jpg

文献AI研究员

20分钟写一篇综述,助力文献阅读效率提升50倍。

立即体验

用中文搜PubMed

大模型驱动的PubMed中文搜索引擎

马上搜索

文档翻译

学术文献翻译模型,支持多种主流文档格式。

立即体验