Suppr超能文献

硅烷化生物分子:生物墨水的多功能成分。

Silylated biomolecules: Versatile components for bioinks.

作者信息

Montheil Titouan, Simon Matthieu, Noël Danièle, Mehdi Ahmad, Subra Gilles, Echalier Cécile

机构信息

IBMM, University Montpellier, CNRS, ENSCM, Montpellier, France.

ICGM, University Montpellier, CNRS, ENSCM, Montpellier, France.

出版信息

Front Bioeng Biotechnol. 2022 Oct 11;10:888437. doi: 10.3389/fbioe.2022.888437. eCollection 2022.

Abstract

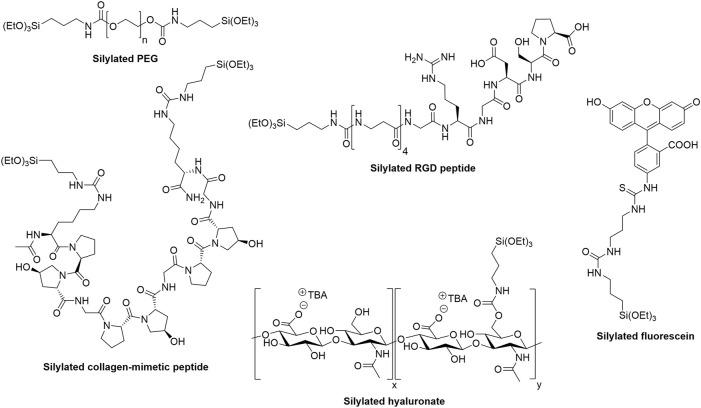
Physical hydrogels prepared from natural biopolymers are the most popular components for bioinks. However, to improve the mechanical properties of the network, in particular its durability for long-lasting tissue engineering applications or its stiffness for bone/cartilage applications, covalent chemical hydrogels have to be considered. For that purpose, biorthogonal reactions are required to allow the inclusion of living cells within the bioink reservoir before the 3D printing procedure. Interestingly, such reactions also unlock the possibility to further multifunctionalize the network, adding bioactive moieties to tune the biological properties of the resulting printed biomaterial. Surprisingly, compared to the huge number of studies disclosing novel bioink compositions, no extensive efforts have been made by the scientific community to develop new chemical reactions meeting the requirements of both cell encapsulation, chemical orthogonality and versatile enough to be applied to a wide range of molecular components, including fragile biomolecules. That could be explained by the domination of acrylate photocrosslinking in the bioprinting field. On the other hand, proceeding chemoselectively and allowing the polymerization of any type of silylated molecules, the sol-gel inorganic polymerization was used as a crosslinking reaction to prepare hydrogels. Recent development of this strategy includes the optimization of biocompatible catalytic conditions and the silylation of highly attractive biomolecules such as amino acids, bioactive peptides, proteins and oligosaccharides. When one combines the simplicity and the versatility of the process, with the ease of functionalization of any type of relevant silylated molecules that can be combined in an infinite manner, it was obvious that a family of bioinks could emerge quickly. This review presents the sol-gel process in biocompatible conditions and the various classes of relevant silylated molecules that can be used as bioink components. The preparation of hydrogels and the kinetic considerations of the sol-gel chemistry which at least allowed cell encapsulation and extrusion-based bioprinting are discussed.

摘要

由天然生物聚合物制备的物理水凝胶是生物墨水最常用的成分。然而,为了改善网络的机械性能,特别是其在持久组织工程应用中的耐久性或在骨/软骨应用中的刚度,必须考虑共价化学水凝胶。为此,需要生物正交反应,以便在3D打印过程之前将活细胞纳入生物墨水库中。有趣的是,这类反应还开启了进一步使网络多功能化的可能性,添加生物活性部分以调节所得打印生物材料的生物学特性。令人惊讶的是,与大量揭示新型生物墨水成分的研究相比,科学界尚未做出广泛努力来开发满足细胞封装、化学正交性要求且足够通用以应用于广泛分子成分(包括脆弱生物分子)的新化学反应。这可能是由于丙烯酸酯光交联在生物打印领域占主导地位。另一方面,溶胶-凝胶无机聚合作为一种交联反应用于制备水凝胶,它具有化学选择性且能使任何类型的硅烷化分子聚合。该策略的最新进展包括优化生物相容性催化条件以及对极具吸引力的生物分子(如氨基酸、生物活性肽、蛋白质和寡糖)进行硅烷化。当将该过程的简单性和通用性与任何类型相关硅烷化分子易于功能化(可无限组合)相结合时,显然一族生物墨水可能会迅速出现。本综述介绍了生物相容条件下的溶胶-凝胶过程以及可作为生物墨水成分使用的各类相关硅烷化分子。讨论了水凝胶的制备以及溶胶-凝胶化学的动力学考虑因素,该化学至少允许细胞封装和基于挤出的生物打印。

https://cdn.ncbi.nlm.nih.gov/pmc/blobs/7cf4/9592925/63df37cca3cb/fbioe-10-888437-g001.jpg

文献AI研究员

20分钟写一篇综述,助力文献阅读效率提升50倍。

立即体验

用中文搜PubMed

大模型驱动的PubMed中文搜索引擎

马上搜索

文档翻译

学术文献翻译模型,支持多种主流文档格式。

立即体验