Suppr超能文献

金属依赖性程序性细胞死亡相关lncRNA对胃癌的预后特征及天然药物敏感性预测

Metal-dependent programmed cell death-related lncRNA prognostic signatures and natural drug sensitivity prediction for gastric cancer.

作者信息

Song Xuesong, Hou Lin, Zhao Yuanyuan, Guan Qingtian, Li Zhiwen

机构信息

Department of Anesthesiology, First Hospital of Jilin University, Changchun, China.

First Hospital of Jilin University, Changchun, China.

出版信息

Front Pharmacol. 2022 Oct 21;13:1039499. doi: 10.3389/fphar.2022.1039499. eCollection 2022.

Abstract

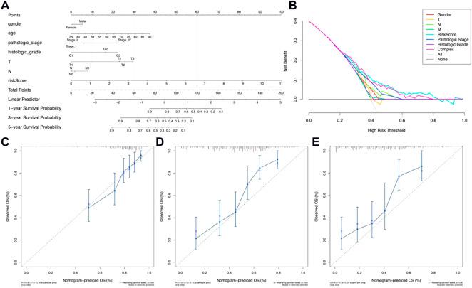
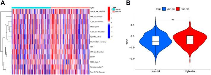
Gastric cancer is one of the most important malignancies with poor prognosis. Ferroptosis and cuproptosis are newly discovered metal-dependent types of programmed cell death, which may directly affect the outcome of gastric cancer. Long noncoding RNAs (lncRNAs) can affect the prognosis of cancer with stable structures, which could be potential prognostic prediction factors for gastric cancer. Differentially expressed metal-dependent programmed cell death (PCD)-related lncRNAs were identified with DESeq2 and 's correlation analysis. Through GO and KEGG analyses and GSEA , we identified the potential effects of metal-dependent PCD-related lncRNAs on prognosis. Using Cox regression analysis with the LASSO method, we constructed a 12-lncRNA prognostic signature model. Also, we evaluated the prognostic efficiency with Kaplan-Meier (K-M) survival curve, receiver operating characteristic (ROC) curve, and decision curve analysis (DCA) methods. The sensitivities for antitumor drugs were then predicted with the pRRophetic method. Also, we discuss Chinese patent medicines and plant extracts that could induce metal-dependent programmed cell death. We constructed a metal-dependent PCD-related lncRNA-gene co-expression network. Also, a metal-dependent PCD-related gastric cancer prognostic signature model including 12 lncRNAs was constructed. The K-M survival curve revealed a poor prognosis in the high-risk group. ROC curve analysis shows that the AUC of our model is 0.766, which is better than that of other published models. Moreover, the half-maximum inhibitory concentration (IC50) for dasatinib, lapatinib, sunitinib, cytarabine, saracatinib, and vinorelbine was much lower among the high-risk group. Our 12 metal-dependent PCD-related lncRNA prognostic signature model may improve the OS prediction for gastric cancer. The antitumor drug sensitivity analysis results may also be helpful for individualized chemotherapy regimen design.

摘要

胃癌是预后较差的最重要恶性肿瘤之一。铁死亡和铜死亡是新发现的金属依赖性程序性细胞死亡类型,可能直接影响胃癌的预后。长链非编码RNA(lncRNA)可以通过稳定的结构影响癌症的预后,可能成为胃癌潜在的预后预测因子。利用DESeq2和相关性分析鉴定了差异表达的金属依赖性程序性细胞死亡(PCD)相关lncRNA。通过基因本体(GO)和京都基因与基因组百科全书(KEGG)分析以及基因集富集分析(GSEA),我们确定了金属依赖性PCD相关lncRNA对预后的潜在影响。使用Cox回归分析和LASSO方法,我们构建了一个包含12个lncRNA的预后特征模型。此外,我们用Kaplan-Meier(K-M)生存曲线、受试者工作特征(ROC)曲线和决策曲线分析(DCA)方法评估了预后效率。然后用pRRophetic方法预测抗肿瘤药物的敏感性。此外,我们还讨论了可诱导金属依赖性程序性细胞死亡的中成药和植物提取物。我们构建了一个金属依赖性PCD相关lncRNA-基因共表达网络。此外,构建了一个包含12个lncRNA的金属依赖性PCD相关胃癌预后特征模型。K-M生存曲线显示高危组预后较差。ROC曲线分析表明,我们模型的曲线下面积(AUC)为0.766,优于其他已发表的模型。此外,高危组中达沙替尼、拉帕替尼、舒尼替尼、阿糖胞苷、萨拉卡替尼和长春瑞滨的半数抑制浓度(IC50)要低得多。我们的12个金属依赖性PCD相关lncRNA预后特征模型可能会改善胃癌的总生存期(OS)预测。抗肿瘤药物敏感性分析结果也可能有助于个体化化疗方案的设计。

https://cdn.ncbi.nlm.nih.gov/pmc/blobs/0461/9634547/ee526949c031/fphar-13-1039499-g001.jpg

文献AI研究员

20分钟写一篇综述,助力文献阅读效率提升50倍。

立即体验

用中文搜PubMed

大模型驱动的PubMed中文搜索引擎

马上搜索

文档翻译

学术文献翻译模型,支持多种主流文档格式。

立即体验