Suppr超能文献

百里香和牛至精油膳食补充剂对肉鸡健康、生长性能及生长相关胸肌异常发生率的影响

The Impact of Thyme and Oregano Essential Oils Dietary Supplementation on Broiler Health, Growth Performance, and Prevalence of Growth-Related Breast Muscle Abnormalities.

作者信息

Zaazaa Ahmed, Mudalal Samer, Alzuheir Ibrahim, Samara Maen, Jalboush Nasr, Fayyad Adnan, Petracci Massimiliano

机构信息

Department of Animal Production and Animal Health, Faculty of Agriculture and Veterinary Medicine, An-Najah National University, Nablus P.O. Box 7, Palestine.

Department of Nutrition and Food Technology, Faculty of Agriculture and Veterinary Medicine, An-Najah National University, Nablus P.O. Box 7, Palestine.

出版信息

Animals (Basel). 2022 Nov 7;12(21):3065. doi: 10.3390/ani12213065.

Abstract

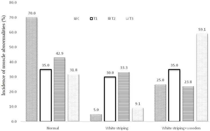
The objective of this study was to investigate the effects of thyme and oregano essential oils (as growth promotors), individually and in combination, on the health, growth performance, and prevalence of muscle abnormalities in broiler chickens. Six hundred day-old Cobb 500 hybrid chickens were randomized into four dietary treatment groups with three replicates each. Chicks in the control group (C) received a basal diet, while the experimental treatment groups received basal diets containing 350 mg/kg of thyme oil (T1), 350 mg/kg of oregano oil (T2), and 350 mg/kg of thyme and oregano oil (T3). Growth performance parameters were evaluated at 14, 28, and 42 days. The broilers in treatments T1 and T2 had significantly higher body weights than the control group. The feed conversion ratio was the lowest in chicks who received oregano oil, followed by those fed thyme oil. The overall prevalence of growth-related breast muscle abnormalities (including white striping and white striping combined with wooden breast) in groups receiving essential oils (T1, T2, and T3) was significantly higher than in the control group (C). The thyme and oregano oil diets showed no significant differences in antibody titers against Newcastle disease or interferon-γ (INF-γ) serum levels. In conclusion, thyme and oregano oils had a positive impact on the growth performance of broiler chickens but increased the incidence of growth-related breast muscle abnormalities.

摘要

本研究的目的是调查百里香和牛至精油(作为生长促进剂)单独使用及联合使用对肉鸡健康、生长性能和肌肉异常发生率的影响。600只1日龄的科宝500杂交鸡被随机分为四个日粮处理组,每组三个重复。对照组(C)的雏鸡接受基础日粮,而实验处理组接受含有350毫克/千克百里香油(T1)、350毫克/千克牛至油(T2)和350毫克/千克百里香和牛至油(T3)的基础日粮。在第14、28和42天评估生长性能参数。T1和T2处理组的肉鸡体重显著高于对照组。接受牛至油的雏鸡饲料转化率最低,其次是接受百里香油的雏鸡。接受精油处理的组(T1、T2和T3)中与生长相关的胸肌异常(包括白色条纹以及白色条纹合并木质胸肌)的总体发生率显著高于对照组(C)。百里香和牛至油日粮在新城疫抗体滴度或干扰素-γ(INF-γ)血清水平方面没有显著差异。总之,百里香和牛至油对肉鸡的生长性能有积极影响,但增加了与生长相关的胸肌异常的发生率。

https://cdn.ncbi.nlm.nih.gov/pmc/blobs/6cba/9653697/1ef1c0fe74c7/animals-12-03065-g001.jpg

文献AI研究员

20分钟写一篇综述,助力文献阅读效率提升50倍。

立即体验

用中文搜PubMed

大模型驱动的PubMed中文搜索引擎

马上搜索

文档翻译

学术文献翻译模型,支持多种主流文档格式。

立即体验