Suppr超能文献

用于生物植入应用的喷砂和热处理Ti6Al4V合金的表面性能及体外腐蚀研究

Surface Properties and In Vitro Corrosion Studies of Blasted and Thermally Treated Ti6Al4V Alloy for Bioimplant Applications.

作者信息

Hussein Mohamed A, Demir Baha Y, Kumar Arumugam Madhan, Abdelaal Ahmed F

机构信息

Interdisciplinary Research Center for Advanced Materials, King Fahd University of Petroleum & Minerals (KFUPM), Dhahran 31261, Saudi Arabia.

Department of Mechanical Engineering, King Fahd University of Petroleum & Minerals (KFUPM), Dhahran 31261, Saudi Arabia.

出版信息

Materials (Basel). 2022 Oct 29;15(21):7615. doi: 10.3390/ma15217615.

Abstract

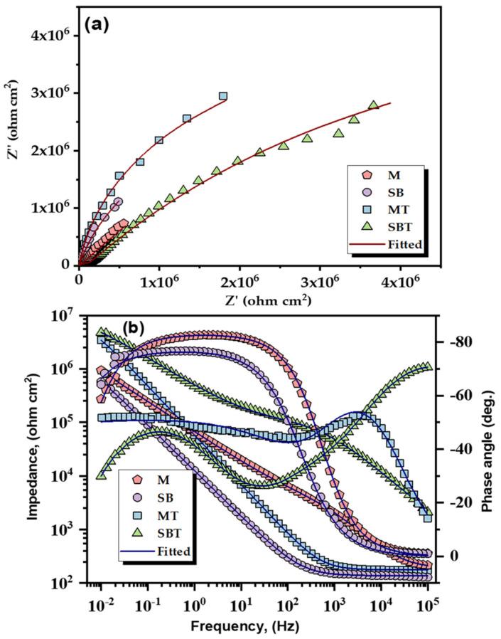
The biomedical Ti6Al4V alloy was thermally treated under sandblasting and mirror finish surface preparation conditions. The surface morphology, structure, roughness, wettability, and energy were characterized. Microhardness and in vitro corrosion studies were carried out. X-ray diffraction results showed a formation of rutile TiO phase for thermally treated samples under different pretreated conditions. The thermally oxidized samples exhibited an increase in microhardness compared to the untreated mirror finish and sandblasted samples by 22 and 33%, respectively. The wettability study revealed enhanced hydrophilicity of blasted and thermally treated samples. The surface energy of the thermal treatment samples increased by 26 and 32.6% for mirror surface and blasted preconditions, respectively. The acquired in vitro corrosion results using potentiodynamic polarization measurement and electrochemical impedance spectroscopy confirmed the surface protective performance against corrosion in Hank's medium. The enhanced surface characteristics and corrosion protection of treated Ti6Al4V alloy give it potential for bio-implant applications.

摘要

对生物医学用Ti6Al4V合金在喷砂和镜面抛光表面处理条件下进行了热处理。对其表面形貌、结构、粗糙度、润湿性和能量进行了表征。开展了显微硬度和体外腐蚀研究。X射线衍射结果表明,在不同预处理条件下,热处理样品形成了金红石TiO相。与未处理的镜面抛光和喷砂样品相比,热氧化样品的显微硬度分别提高了22%和33%。润湿性研究表明,喷砂和热处理样品的亲水性增强。对于镜面和喷砂预处理条件,热处理样品的表面能分别提高了26%和32.6%。使用动电位极化测量和电化学阻抗谱获得的体外腐蚀结果证实了在汉克氏培养基中表面的抗腐蚀性能。经处理的Ti6Al4V合金增强的表面特性和耐腐蚀性能使其具有生物植入应用的潜力。

https://cdn.ncbi.nlm.nih.gov/pmc/blobs/ef73/9655274/18a195181a58/materials-15-07615-g001.jpg

文献AI研究员

20分钟写一篇综述,助力文献阅读效率提升50倍。

立即体验

用中文搜PubMed

大模型驱动的PubMed中文搜索引擎

马上搜索

文档翻译

学术文献翻译模型,支持多种主流文档格式。

立即体验