Suppr超能文献

癌症或造血干细胞移植后女性生育力保存的活产率:胚胎、卵母细胞和卵巢组织冷冻保存三种主要技术的系统评价和荟萃分析。

Live birth rate after female fertility preservation for cancer or haematopoietic stem cell transplantation: a systematic review and meta-analysis of the three main techniques; embryo, oocyte and ovarian tissue cryopreservation.

机构信息

Service de Médecine de la Reproduction, Hospices Civils de Lyon, Hôpital Mère Enfant, Bron, France.

Université Claude Bernard, Faculté de Médecine Laennec, Lyon, France.

出版信息

Hum Reprod. 2023 Mar 1;38(3):489-502. doi: 10.1093/humrep/deac249.

Abstract

STUDY QUESTION

What are the chances of achieving a live birth after embryo, oocyte and ovarian tissue cryopreservation (OTC) in female cancer survivors?

SUMMARY ANSWER

The live birth rates (LBRs) following embryo and oocyte cryopreservation are 41% and 32%, respectively, while for IVF and spontaneous LBR after tissue cryopreservation and transplantation, these rates are 21% and 33%, respectively.

WHAT IS KNOWN ALREADY

Currently, fertility preservation (FP) has become a major public health issue as diagnostic and therapeutic progress has made it possible to achieve an 80% survival rate in children, adolescents and young adults with cancer. In the latest ESHRE guidelines, only oocyte and embryo cryopreservation are considered as established options for FP. OTC is still considered to be an innovative method, while it is an acceptable FP technique in the American Society for Reproductive Medicine guidelines. However, given the lack of studies on long-term outcomes after FP, it is still unclear which technique offers the best chance to achieve a live birth.

STUDY DESIGN, SIZE, DURATION: We performed a systematic review and meta-analysis of published controlled studies. Searches were conducted from January 2004 to May 2021 in Medline, Embase and the Cochrane Library using the following search terms: cancer, stem cell transplantation, FP, embryo cryopreservation, oocyte vitrification, OTC and reproductive outcome.

PARTICIPANTS/MATERIALS, SETTING, METHODS: A total of 126 full-text articles were preselected from 1436 references based on the title and abstract and assessed via the Newcastle-Ottawa Quality Assessment Scale. The studies were selected, and their data were extracted by two independent reviewers according to the Cochrane methods. A fixed-effect meta-analysis was performed for outcomes with high heterogeneity.

MAIN RESULTS AND THE ROLE OF CHANCE

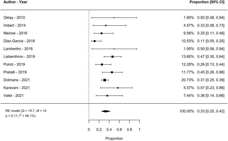
Data from 34 studies were used for this meta-analysis. Regarding cryopreserved embryos, the LBR after IVF was 41% (95% CI: 34-48, I2: 0%, fixed effect). Concerning vitrified oocytes, the LBR was 32% (95% CI: 26-39, I2: 0%, fixed effect). Finally, the LBR after IVF and the spontaneous LBR after ovarian tissue transplantation were 21% (95% CI: 15-26, I2: 0%, fixed-effect) and 33% (95% CI: 25-42, I2: 46.1%, random-effect), respectively. For all outcomes, in the sensitivity analyses, the maximum variation in the estimated percentage was 1%.

LIMITATIONS, REASONS FOR CAUTION: The heterogeneity of the literature prevents us from comparing these three techniques. This meta-analysis provides limited data which may help clinicians when counselling patients.

WIDER IMPLICATIONS OF THE FINDINGS

This study highlights the need for long-term follow-up registries to assess return rates, as well as spontaneous pregnancy rates and birth rates after FP.

STUDY FUNDING/COMPETING INTEREST(S): This work was sponsored by an unrestricted grant from GEDEON RICHTER France. The authors have no competing interests to declare.

REGISTRATION NUMBER

CRD42021264042.

摘要

研究问题

女性癌症幸存者进行胚胎、卵母细胞和卵巢组织冷冻保存(OTC)后,活产的几率有多大?

总结答案

胚胎和卵母细胞冷冻保存的活产率分别为 41%和 32%,而组织冷冻保存和移植后进行 IVF 和自然活产率分别为 21%和 33%。

已知情况

目前,随着诊断和治疗的进步,儿童、青少年和年轻癌症患者的生存率已达到 80%,因此生育力保存(FP)已成为一个主要的公共卫生问题。在最新的 ESHRE 指南中,只有卵母细胞和胚胎冷冻保存被认为是 FP 的既定选择。OTC 仍被认为是一种创新的方法,而在美国生殖医学学会指南中,它是一种可接受的 FP 技术。然而,鉴于 FP 后长期结果的研究缺乏,哪种技术能提供最好的活产机会仍不清楚。

研究设计、规模、持续时间:我们对已发表的对照研究进行了系统评价和荟萃分析。从 2004 年 1 月至 2021 年 5 月,我们在 Medline、Embase 和 Cochrane 图书馆中使用了以下搜索词:癌症、干细胞移植、FP、胚胎冷冻保存、卵母细胞玻璃化、OTC 和生殖结果。

参与者/材料、设置、方法:根据标题和摘要预选了 1436 篇参考文献中的 126 篇全文文章,并根据纽卡斯尔-渥太华质量评估量表进行了评估。根据 Cochrane 方法,由两名独立评审员选择和提取研究数据。对于具有高度异质性的结果,采用固定效应荟萃分析。

主要结果和机会的作用

这项荟萃分析使用了 34 项研究的数据。关于冷冻胚胎,IVF 后的活产率为 41%(95%CI:34-48,I2:0%,固定效应)。关于玻璃化卵母细胞,活产率为 32%(95%CI:26-39,I2:0%,固定效应)。最后,IVF 后的活产率和卵巢组织移植后的自然活产率分别为 21%(95%CI:15-26,I2:0%,固定效应)和 33%(95%CI:25-42,I2:46.1%,随机效应)。对于所有结果,在敏感性分析中,估计百分比的最大变化为 1%。

局限性、谨慎的原因:文献的异质性使我们无法比较这三种技术。这项荟萃分析提供了有限的数据,这可能有助于临床医生在为患者提供咨询时使用。

更广泛的影响

这项研究强调需要长期随访登记册来评估 FP 后的回院率以及自然妊娠率和出生率。

研究资助/利益冲突:这项工作得到了 GEDEON RICHTER 法国的一项无限制赠款的支持。作者没有利益冲突需要申报。

注册号

CRD42021264042。

https://cdn.ncbi.nlm.nih.gov/pmc/blobs/0467/9977128/9880a9df2454/deac249f1.jpg

文献AI研究员

20分钟写一篇综述,助力文献阅读效率提升50倍。

立即体验

用中文搜PubMed

大模型驱动的PubMed中文搜索引擎

马上搜索

文档翻译

学术文献翻译模型,支持多种主流文档格式。

立即体验