Suppr超能文献

基于炎症的预后评分系统,用于预测接受安罗替尼单药治疗的晚期小细胞肺癌患者的预后。

Inflammation-based prognostic scoring system for predicting the prognosis of advanced small cell lung cancer patients receiving anlotinib monotherapy.

机构信息

Department of Radiation Oncology, Ningbo Medical Center Lihuili Hospital, Ningbo University, Ningbo, China.

Department of Thoracic Surgery, Ningbo Medical Center Lihuili Hospital, Ningbo University, Ningbo, China.

出版信息

J Clin Lab Anal. 2022 Dec;36(12):e24772. doi: 10.1002/jcla.24772. Epub 2022 Nov 28.

Abstract

BACKGROUND

According to the randomized multicenter phase II trial (ALTER1202), anlotinib has been approved as a third-line therapy for advanced small-cell lung cancer (SCLC). Some studies showed the predictive function of inflammatory markers, including neutrophil-to-lymphocyte ratio (NLR), platelet-to-lymphocyte ratio (PLR), and lymphocyte-to-monocyte ratio (LMR) in the different cancers treated with anti-vascular targeting drugs. However, none of the studies showed the roles of NLR, PLR, and LMR in SCLC patients receiving anlotinib. Thus, our objective was to establish a scoring system based on inflammation to individuate patient stratification and selection based on NLR, PLR, and LMR.

METHODS

NLR, PLR, and LMR and their variations were calculated in 53 advanced SCLC patients receiving anlotinib as a third- or further-line treatment at Ningbo Medical Center Lihuili Hospital between January 2019 and December 2021. Kaplan-Meier curves were plotted. Both univariate and multivariate Cox regressions were used to identify predictors of survival.

RESULTS

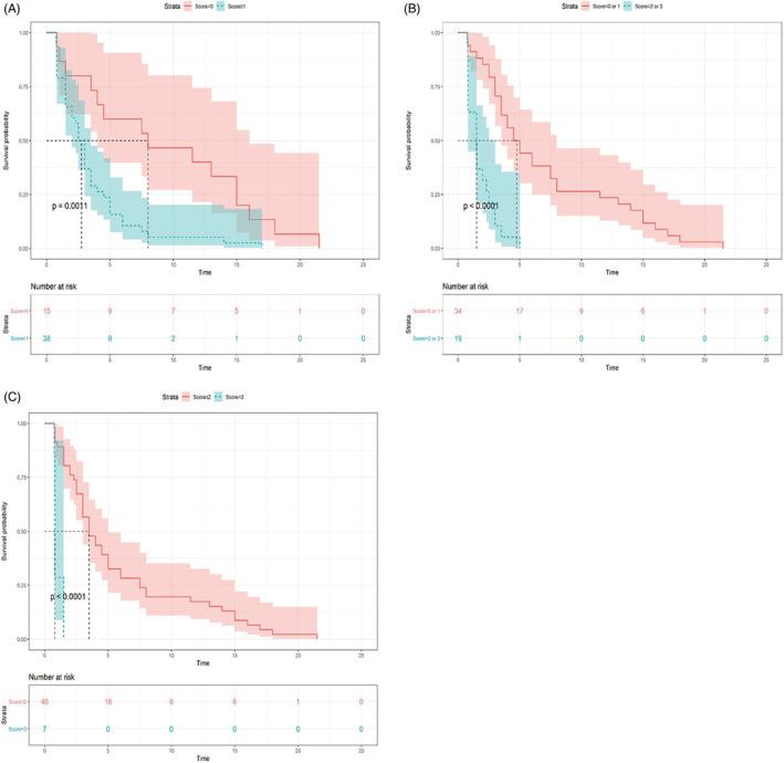
Disease control rate was related to pre-NLR, pre-PLR, pre-LMR, post-NLR elevation, post-PLR elevation, and post-LMR elevation. The multivariate analysis determined post-NLR elevation, pre-PLR > 240.56, and pre-LMR ≤1.61 to be independently associated with progression-free survival, not overall survival. The inflammation-based prognostic scoring system demonstrated favorable predictive ability from the receiver operating characteristic curve (AUC: 0.791, 95% CI: 0.645-0.938).

CONCLUSIONS

Post-NLR variation, pre-PLR, and pre-LMR were independent prognostic factors for PFS in advanced SCLC receiving anlotinib monotherapy. The inflammation-based prognostic scoring system can accurately predict effectiveness and survival.

摘要

背景

根据随机、多中心的 II 期临床试验(ALTER1202),安罗替尼已被批准作为晚期小细胞肺癌(SCLC)的三线治疗药物。一些研究表明,炎症标志物(包括中性粒细胞与淋巴细胞比值[NLR]、血小板与淋巴细胞比值[PLR]和淋巴细胞与单核细胞比值[LMR])在接受抗血管靶向药物治疗的不同癌症中有预测作用。然而,没有一项研究表明 NLR、PLR 和 LMR 在接受安罗替尼治疗的 SCLC 患者中的作用。因此,我们的目标是建立一个基于炎症的评分系统,根据 NLR、PLR 和 LMR 来确定患者的分层和选择。

方法

2019 年 1 月至 2021 年 12 月,在宁波医疗中心李惠利医院接受安罗替尼三线或更后线治疗的 53 例晚期 SCLC 患者,计算 NLR、PLR 和 LMR 及其变化。绘制 Kaplan-Meier 曲线。采用单因素和多因素 Cox 回归分析确定生存的预测因素。

结果

疾病控制率与治疗前 NLR、PLR、LMR、治疗后 NLR 升高、PLR 升高和 LMR 升高有关。多因素分析确定治疗后 NLR 升高、PLR>240.56 和治疗前 LMR≤1.61 与无进展生存期(PFS)独立相关,而与总生存期(OS)无关。基于炎症的预后评分系统的受试者工作特征曲线(AUC:0.791,95%CI:0.645-0.938)显示出良好的预测能力。

结论

在接受安罗替尼单药治疗的晚期 SCLC 患者中,治疗后 NLR 变化、治疗前 PLR 和 LMR 是 PFS 的独立预后因素。基于炎症的预后评分系统可以准确预测疗效和生存。

https://cdn.ncbi.nlm.nih.gov/pmc/blobs/9939/9757002/7d25bb27a730/JCLA-36-e24772-g006.jpg

文献AI研究员

20分钟写一篇综述,助力文献阅读效率提升50倍。

立即体验

用中文搜PubMed

大模型驱动的PubMed中文搜索引擎

马上搜索

文档翻译

学术文献翻译模型,支持多种主流文档格式。

立即体验