Suppr超能文献

端粒长度与睡眠时间的可能关联:对西西里岛百岁老人队列的初步试点研究

Possible Association of Telomere Length With Sleep Duration. A Preliminary Pilot Study in a Sicilian Cohort with Centenarians.

作者信息

Aiello Anna, Accardi Giulia, Alì Sawan, Caruso Calogero, Chen Maxine, De Vivo Immaculata, Ligotti Mattia Emanuela, Scapagnini Giovanni, Davinelli Sergio, Candore Giuseppina

机构信息

Laboratory of Immunopathology and Immunosenescence, Department of Biomedicine, Neuroscience and Advanced Diagnostics, University of Palermo, Palermo, Italy.

Department of Medicine and Health Sciences "V. Tiberio", University of Molise, Campobasso, Italy.

出版信息

Transl Med UniSa. 2021 Dec 23;24(1):24-29. doi: 10.37825/2239-9754.1031. eCollection 2021.

Abstract

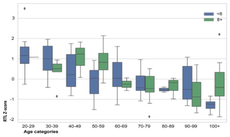
Telomere length (TL) is considered a biomarker of ageing although this topic is still debated. Also, sleep pattern changes are physiological part of the normal ageing process. In fact, it is widely recognized that sleep duration declines with age, leading to dysregulation of circadian rhythms. The aim of our study was to analyse the possible association of sleep duration with TL in a sample of 135 subjects with ages ranging from 20 to 111 years, recruited from Palermo and neighbouring municipalities in Sicily (Italy). Preliminary data suggest that relative TL (RTL) decreases with age in both men and women. However, at older ages, the difference between men and women tends to narrow. Nonagenarian and centenarian women do not show RTL values significantly different from those observed in adult and old women (40-89 years aged). Moreover, to analyse the relationship between TL and sleep, we stratified sleep duration into greater or lesser than 8-h periods. We found that centenarians, who daily sleep 8 hours or more, have longer RTL than centenarians who sleep fewer than 8 hours. Although the relatively small sample size of centenarians, we provide preliminary evidence that sleep duration may affect the RTL of centenarians. To the best of our knowledge, this is the first study to examine the relationship between centenarians, RTL and sleep duration. Further studies with greater sample size of centenarians are required to replicate and extend these data.

摘要

端粒长度(TL)被认为是衰老的生物标志物,尽管这一话题仍存在争议。此外,睡眠模式的改变是正常衰老过程中的生理现象。事实上,人们普遍认识到睡眠时间会随着年龄增长而减少,从而导致昼夜节律失调。我们研究的目的是分析135名年龄在20岁至111岁之间的受试者样本中,睡眠时间与端粒长度之间可能存在的关联,这些受试者是从意大利西西里岛巴勒莫市及周边市镇招募的。初步数据表明,男性和女性的相对端粒长度(RTL)均会随着年龄增长而降低。然而,在较高年龄段,男性和女性之间的差异趋于缩小。九旬和百岁女性的RTL值与成年和老年女性(40 - 89岁)观察到的值没有显著差异。此外,为了分析端粒长度与睡眠之间的关系,我们将睡眠时间分为大于或小于8小时两个时间段。我们发现,每天睡眠8小时或更长时间的百岁老人,其RTL比睡眠时间少于8小时的百岁老人更长。尽管百岁老人的样本量相对较小,但我们提供了初步证据表明睡眠时间可能会影响百岁老人的RTL。据我们所知,这是第一项研究百岁老人、RTL与睡眠时间之间关系的研究。需要进一步开展更大样本量的百岁老人研究来重复和扩展这些数据。

https://cdn.ncbi.nlm.nih.gov/pmc/blobs/3dac/9673914/7247ad968586/tmed-24-01-024f1.jpg

文献AI研究员

20分钟写一篇综述,助力文献阅读效率提升50倍。

立即体验

用中文搜PubMed

大模型驱动的PubMed中文搜索引擎

马上搜索

文档翻译

学术文献翻译模型,支持多种主流文档格式。

立即体验