Suppr超能文献

2008 年至 2019 年美国按疾病类别划分的成人随机临床试验的人口统计学招募偏倚:系统评价和荟萃分析。

Demographic recruitment bias of adults in United States randomized clinical trials by disease categories between 2008 to 2019: a systematic review and meta-analysis.

机构信息

John A. Burns School of Medicine, University of Hawai'i at Mānoa, 651 Ilalo Street, Honolulu, HI, 96813, USA.

Department of Quantitative Health Sciences, Biostatistics Core Facility, John A. Burns School of Medicine, University of Hawai'i at Mānoa, 651 Ilalo Street, Honolulu, HI, 96813, USA.

出版信息

Sci Rep. 2023 Jan 2;13(1):42. doi: 10.1038/s41598-022-23664-1.

Abstract

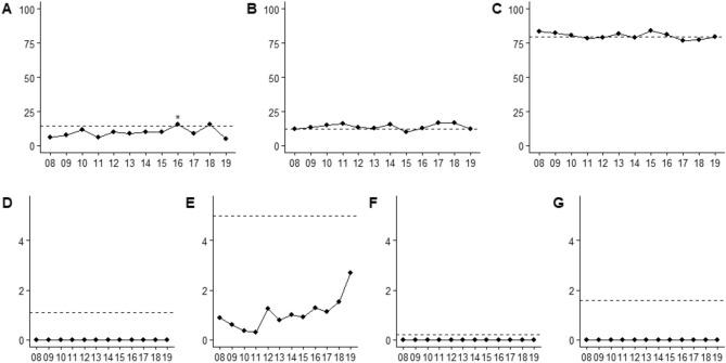
To promote health equity within the United States (US), randomized clinical trials should strive for unbiased representation. Thus, there is impetus to identify demographic disparities overall and by disease category in US clinical trial recruitment, by trial phase, level of masking, and multi-center status, relative to national demographics. A systematic review and meta-analysis were conducted using MEDLINE, Embase, CENTRAL, and ClinicalTrials.gov, between 01/01/2008 to 12/30/2019. Clinical trials (N = 5,388) were identified based on the following inclusion criteria: study type, location, phase, and participant age. Each clinical trial was independently screened by two researchers. Data was pooled using a random-effects model. Median proportions for gender, race, and ethnicity of each trial were compared to the 2010 US Census proportions, matched by age. A second analysis was performed comparing gender, race, and ethnicity proportions by trial phase, multi-institutional status, quality, masking, and study start year. 2977 trials met inclusion criteria (participants, n = 607,181) for data extraction. 36% of trials reported ethnicity and 53% reported race. Three trials (0.10%) included transgender participants (n = 5). Compared with 2010 US Census data, females (48.3%, 95% CI 47.2-49.3, p < 0.0001), Hispanics (11.6%, 95% CI 10.8-12.4, p < 0.0001), American Indians and Alaskan Natives (AIAN, 0.19%, 95% CI 0.15-0.23, p < 0.0001), Asians (1.27%, 95% CI 1.13-1.42, p < 0.0001), Whites (77.6%, 95% CI 76.4-78.8, p < 0.0001), and multiracial participants (0.25%, 95% CI 0.21-0.31, p < 0.0001) were under-represented, while Native Hawaiians and Pacific Islanders (0.76%, 95% CI 0.71-0.82, p < 0.0001) and Blacks (17.0%, 95% CI 15.9-18.1, p < 0.0001) were over-represented. Inequitable representation was mirrored in analysis by phase, institutional status, quality assessment, and level of masking. Between 2008 to 2019 representation improved for only females and Hispanics. Analysis stratified by 44 disease categories (i.e., psychiatric, obstetric, neurological, etc.) exhibited significant yet varied disparities, with Asians, AIAN, and multiracial individuals the most under-represented. These results demonstrate disparities in US randomized clinical trial recruitment between 2008 to 2019, with the reporting of demographic data and representation of most minorities not having improved over time.

摘要

为了促进美国(US)内部的健康公平,随机临床试验应努力实现无偏见的代表性。因此,有动力确定美国临床试验招募中的总体人口统计学差异和按疾病类别划分的差异,按试验阶段、掩蔽水平和多中心状态,相对于全国人口统计学数据。使用 MEDLINE、Embase、CENTRAL 和 ClinicalTrials.gov 进行了系统评价和荟萃分析,时间范围为 2008 年 1 月 1 日至 2019 年 12 月 30 日。根据以下纳入标准确定临床试验(N=5388):研究类型、地点、阶段和参与者年龄。每个临床试验都由两名研究人员独立筛选。使用随机效应模型汇总数据。每个试验的性别、种族和族裔的中位数比例与 2010 年美国人口普查的比例进行比较,按年龄匹配。进行了第二次分析,比较了试验阶段、多机构地位、质量、掩蔽和研究启动年份的性别、种族和族裔比例。2977 项试验符合数据提取的纳入标准(参与者,n=607181)。36%的试验报告了种族,53%的试验报告了种族。有三项试验(0.10%)纳入了跨性别参与者(n=5)。与 2010 年美国人口普查数据相比,女性(48.3%,95%CI 47.2-49.3,p<0.0001)、西班牙裔(11.6%,95%CI 10.8-12.4,p<0.0001)、美国印第安人和阿拉斯加原住民(AIAN,0.19%,95%CI 0.15-0.23,p<0.0001)、亚洲人(1.27%,95%CI 1.13-1.42,p<0.0001)、白人(77.6%,95%CI 76.4-78.8,p<0.0001)和多种族参与者(0.25%,95%CI 0.21-0.31,p<0.0001)代表性不足,而夏威夷原住民和太平洋岛民(0.76%,95%CI 0.71-0.82,p<0.0001)和黑人(17.0%,95%CI 15.9-18.1,p<0.0001)代表性过高。在按阶段、机构地位、质量评估和掩蔽水平进行的分析中,也反映了不公平的代表性。2008 年至 2019 年,只有女性和西班牙裔的代表性有所提高。按 44 种疾病类别(即精神病学、产科、神经病学等)分层的分析显示出显著但不同的差异,亚洲人、AIAN 和多种族个体的代表性最低。这些结果表明,2008 年至 2019 年期间,美国随机临床试验招募存在差异,尽管人口统计学数据的报告和大多数少数族裔的代表性并没有随着时间的推移而改善。

https://cdn.ncbi.nlm.nih.gov/pmc/blobs/673a/9807581/33b65c8d931a/41598_2022_23664_Fig1_HTML.jpg

文献AI研究员

20分钟写一篇综述,助力文献阅读效率提升50倍。

立即体验

用中文搜PubMed

大模型驱动的PubMed中文搜索引擎

马上搜索

文档翻译

学术文献翻译模型,支持多种主流文档格式。

立即体验