Suppr超能文献

肽药物偶联物及其在癌症治疗中的作用。

Peptide Drug Conjugates and Their Role in Cancer Therapy.

机构信息

Paul L. Foster School of Medicine, Department of Medical Education, Texas Tech University Health Sciences Center, El Paso, TX 79905, USA.

出版信息

Int J Mol Sci. 2023 Jan 3;24(1):829. doi: 10.3390/ijms24010829.

Abstract

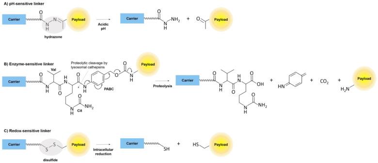
Drug conjugates have become a significant focus of research in the field of targeted medicine for cancer treatments. Peptide-drug conjugates (PDCs), a subset of drug conjugates, are composed of carrier peptides ranging from 5 to 30 amino acid residues, toxic payloads, and linkers that connect the payload to the peptide. PDCs are further broken down into cell-penetrating peptides (CPPs) and cell-targeting peptides (CTPs), each having their own differences in the delivery of cytotoxic payloads. Generally, PDCs as compared to other drug conjugates-like antibody-drug conjugates (ADCs)-have advantages in tumor penetration, ease of synthesis and cost, and reduced off-target effects. Further, as compared to traditional cancer treatments (e.g., chemotherapy and radiation), PDCs have higher specificity for the target cancer with generally less toxic side effects in smaller doses. However, PDCs can have disadvantages such as poor stability and rapid renal clearance due to their smaller size and limited oral bioavailability due to digestion of its peptide structure. Some of these challenges can be overcome with modifications, and despite drawbacks, the intrinsic small size of PDCs with high target specificity still makes them an attractive area of research for cancer treatments.

摘要

药物偶联物已成为癌症治疗靶向药物领域的研究重点。肽药物偶联物(PDC)是药物偶联物的一个子集,由 5 到 30 个氨基酸残基的载体肽、毒性有效载荷和连接子组成,连接子将有效载荷连接到肽上。PDC 进一步细分为细胞穿透肽(CPP)和细胞靶向肽(CTP),它们在细胞毒性有效载荷的传递方面各有不同。一般来说,与其他药物偶联物(如抗体药物偶联物[ADC])相比,PDC 在肿瘤穿透性、合成和成本的便利性以及减少脱靶效应方面具有优势。此外,与传统的癌症治疗方法(如化疗和放疗)相比,PDC 对目标癌症具有更高的特异性,一般在较小剂量下具有较少的毒副作用。然而,PDC 也存在一些缺点,如由于其较小的尺寸导致稳定性差和快速肾清除,以及由于其肽结构的消化导致口服生物利用度有限。通过修饰可以克服其中一些挑战,尽管存在这些缺点,但 PDC 内在的小尺寸和高靶向特异性仍使其成为癌症治疗的一个有吸引力的研究领域。

https://cdn.ncbi.nlm.nih.gov/pmc/blobs/ec67/9820985/3e0c0f258ad3/ijms-24-00829-g001.jpg

文献AI研究员

20分钟写一篇综述,助力文献阅读效率提升50倍。

立即体验

用中文搜PubMed

大模型驱动的PubMed中文搜索引擎

马上搜索

文档翻译

学术文献翻译模型,支持多种主流文档格式。

立即体验