Suppr超能文献

多层温度响应性聚合物刷涂层在钛表面的应用以抑制骨科手术中与生物膜相关的感染

Application of Multi-Layered Temperature-Responsive Polymer Brushes Coating on Titanium Surface to Inhibit Biofilm Associated Infection in Orthopedic Surgery.

作者信息

Choi Sookyung, Lee Hyeonjoon, Hong Ran, Jo Byungwook, Jo Suenghwan

机构信息

School of Medicine, Chosun University Medical School, Gwangju 61452, Republic of Korea.

Department of Orthopedic Surgery, Chosun University Hospital, Gwangju 61453, Republic of Korea.

出版信息

Polymers (Basel). 2022 Dec 29;15(1):163. doi: 10.3390/polym15010163.

Abstract

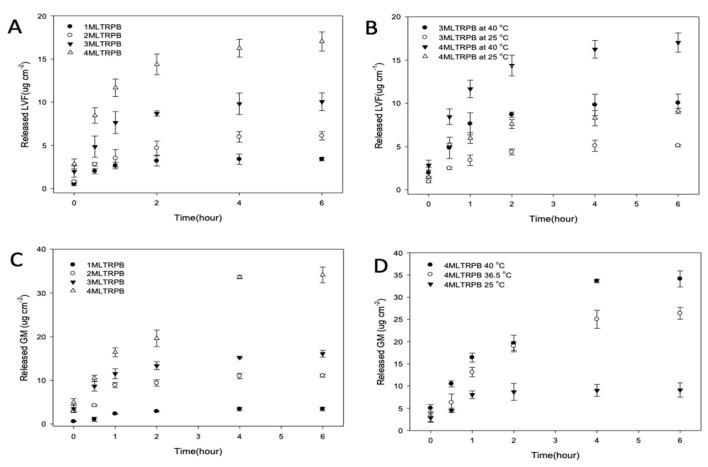
Infection associated with biomedical implants remains the main cause of failure, leading to reoperation after orthopedic surgery. Orthopedic infections are characterized by microbial biofilm formation on the implant surface, which makes it challenging to diagnose and treat. One potential method to prevent and treat such complications is to deliver a sufficient dose of antibiotics at the onset of infection. This strategy can be realized by coating the implant with thermoregulatory polymers and triggering the release of antibiotics during the acute phase of infection. We developed a multi-layered temperature-responsive polymer brush (MLTRPB) coating that can release antibiotics once the temperature reaches a lower critical solution temperature (LCST). The coating system was developed using copolymers composed of diethylene glycol methyl ether methacrylate and 2-hydroxyethyl methacrylate by alternatively fabricating monomers layer by layer on the titanium surface. LCST was set to the temperature of 38-40 °C, a local temperature that can be reached during infection. The antibiotic elution characteristics were investigated, and the antimicrobial efficacy was tested against (Xen29 ATCC 29 213) using one to four layers of MLTRPB. Both in vitro and in vivo assessments demonstrated preventive effects when more than four layers of the coating were applied, ensuring promising antibacterial effects of the MLTRPB coating.

摘要

与生物医学植入物相关的感染仍然是导致失败的主要原因,会导致骨科手术后再次手术。骨科感染的特征是在植入物表面形成微生物生物膜,这使得诊断和治疗具有挑战性。预防和治疗此类并发症的一种潜在方法是在感染开始时给予足够剂量的抗生素。这种策略可以通过用温度调节聚合物涂覆植入物并在感染急性期触发抗生素释放来实现。我们开发了一种多层温度响应聚合物刷(MLTRPB)涂层,一旦温度达到较低临界溶解温度(LCST),该涂层就能释放抗生素。该涂层系统是通过在钛表面逐层交替制备由甲基丙烯酸二甘醇甲醚和甲基丙烯酸2-羟乙酯组成的共聚物而开发的。LCST设定为38-40°C,这是感染期间可达到的局部温度。研究了抗生素洗脱特性,并使用一到四层MLTRPB测试了对(Xen29 ATCC 29 213)的抗菌效果。体外和体内评估均表明,当应用超过四层涂层时具有预防作用,确保了MLTRPB涂层具有良好的抗菌效果。

https://cdn.ncbi.nlm.nih.gov/pmc/blobs/3b0e/9823637/a22fa9e67803/polymers-15-00163-sch001.jpg

文献AI研究员

20分钟写一篇综述,助力文献阅读效率提升50倍。

立即体验

用中文搜PubMed

大模型驱动的PubMed中文搜索引擎

马上搜索

文档翻译

学术文献翻译模型,支持多种主流文档格式。

立即体验