Suppr超能文献

在高多重耐药革兰氏阴性菌流行地区,针对碳青霉烯类药物的抗菌药物管理计划在 COVID-19 大流行期间实施。

A carbapenem-focused antimicrobial stewardship programme implemented during the COVID-19 pandemic in a setting of high endemicity for multidrug-resistant Gram-negative bacteria.

机构信息

School of Medicine, University of Crete, Heraklion, Greece.

Department of Internal Medicine and Infectious Diseases, University Hospital of Heraklion, Heraklion, Greece.

出版信息

J Antimicrob Chemother. 2023 Apr 3;78(4):1000-1008. doi: 10.1093/jac/dkad035.

Abstract

BACKGROUND

Greece is among the countries characterized by high rates of antimicrobial resistance and high consumption of antibiotics, including carbapenems.

OBJECTIVES

To measure the impact of a carbapenem-focused antimicrobial stewardship programme (ASP) on the antibiotic consumption and patient outcomes in a Greek tertiary hospital during the COVID-19 pandemic.

METHODS

A quasi-experimental, before-after study, comparing a 12 month pre-intervention period with a 12 month intervention period in which a carbapenem-focused ASP was implemented.

RESULTS

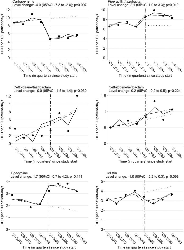
A total of 1268 patients were enrolled. The proportion of admitted patients who received carbapenems decreased from 4.1% (842 of 20 629) to 2.3% (426 of 18 245) (-1.8%; P < 0.001). A decrease of -4.9 DDD/100 patient-days (PD) (95% CI -7.3 to -2.6; P = 0.007) in carbapenem use and an increase in the use of piperacillin/tazobactam [+2.1 DDD/100 PD (95% CI 1.0-3.3; P = 0.010)] were observed. Thirty-day mortality following initiation of carbapenem treatment and all-cause in-hospital mortality remained unaltered after ASP implementation. In contrast, length of hospital stay increased (median 17.0 versus 19.0 days; P < 0.001), while the risk of infection-related readmission within 30 days of hospital discharge decreased (24.6% versus 16.8%; P = 0.007). In the post-implementation period, acceptance of the ASP intervention was associated with lower daily hazard of in-hospital death [cause-specific HR (csHR) 0.49; 95% CI 0.30-0.80], lower odds of 30 day mortality (OR 0.36; 95% CI 0.18-0.70) and higher rate of treatment success (csHR 2.45; 95% CI 1.59-3.77).

CONCLUSIONS

Implementing and maintaining a carbapenem-focused ASP is feasible, effective and safe in settings with high rates of antimicrobial resistance, even during the COVID-19 pandemic.

摘要

背景

希腊是抗生素耐药率和抗生素消耗量(包括碳青霉烯类)较高的国家之一。

目的

在 COVID-19 大流行期间,评估在希腊一家三级医院实施以碳青霉烯类为重点的抗菌药物管理计划(ASP)对抗生素消耗和患者结局的影响。

方法

采用准实验性、前后对照研究,比较了干预前 12 个月(共 20629 例患者)和干预后 12 个月(共 18245 例患者)期间,以碳青霉烯类为重点的 ASP 实施情况。

结果

共纳入 1268 例患者。接受碳青霉烯类药物治疗的住院患者比例从 4.1%(842/20629)降至 2.3%(426/18245)(-1.8%;P<0.001)。碳青霉烯类药物使用减少了 -4.9 DDD/100 患者日(95%CI -7.3 至 -2.6;P=0.007),同时增加了哌拉西林/他唑巴坦的使用[+2.1 DDD/100 患者日(95%CI 1.0-3.3;P=0.010)]。碳青霉烯类药物治疗开始后 30 天死亡率和全因院内死亡率在 ASP 实施后没有改变。相反,住院时间延长(中位数 17.0 天比 19.0 天;P<0.001),而出院后 30 天内感染相关再入院的风险降低(24.6%比 16.8%;P=0.007)。在实施后阶段,接受 ASP 干预与院内死亡的每日风险降低相关[特定原因 HR(csHR)0.49;95%CI 0.30-0.80]、30 天死亡率降低(OR 0.36;95%CI 0.18-0.70)和治疗成功率提高(csHR 2.45;95%CI 1.59-3.77)相关。

结论

即使在 COVID-19 大流行期间,在抗生素耐药率较高的环境中实施和维持以碳青霉烯类为重点的 ASP 是可行、有效和安全的。

https://cdn.ncbi.nlm.nih.gov/pmc/blobs/f813/11023244/e37ceaab2432/dkad035f1.jpg

文献AI研究员

20分钟写一篇综述,助力文献阅读效率提升50倍。

立即体验

用中文搜PubMed

大模型驱动的PubMed中文搜索引擎

马上搜索

文档翻译

学术文献翻译模型,支持多种主流文档格式。

立即体验