Suppr超能文献

精神分裂症患者的结构/功能关系和疾病洞察力:一项多模态 MRI 数据融合研究。

Structure/function interrelationships and illness insight in patients with schizophrenia: a multimodal MRI data fusion study.

机构信息

Department of General Psychiatry, Center for Psychosocial Medicine, Heidelberg University, Vosstrasse 4, 69115, Heidelberg, Germany.

Tri-Institutional Center for Translational Research in Neuroimaging and Data Science (TReNDS), Georgia State University, Georgia Institute of Technology and Emory University, Atlanta, GA, USA.

出版信息

Eur Arch Psychiatry Clin Neurosci. 2023 Dec;273(8):1703-1713. doi: 10.1007/s00406-023-01566-1. Epub 2023 Feb 20.

Abstract

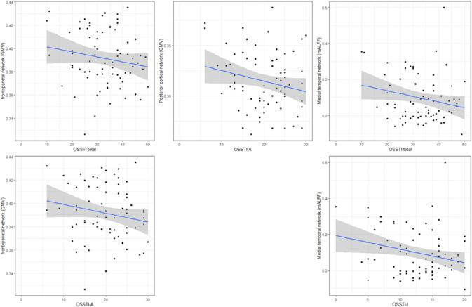
Illness insight in schizophrenia (SZ) has an important impact on treatment outcome, integration into society and can vary over the course of the disorder. To deal with and treat reduced or absent illness insight, we need to better understand its functional and structural correlates. Previous studies showed regionally abnormal brain volume in brain areas related to cognitive control and self-reference. However, little is known about associations between illness insight and structural and functional network strength in patients with SZ. This study employed a cross-sectional design to examine structural and functional differences between patients with SZ (n = 74) and healthy controls (n = 47) using structural and resting-state functional magnetic resonance imaging (MRI). Voxel-based morphometry was performed on structural data, and the amplitude of low frequency fluctuations (ALFF) was calculated for functional data. To investigate abnormal structure/function interrelationships and their association with illness insight, we used parallel independent component analysis (pICA). Significant group (SZ vs. HC) differences were detected in distinct structural and functional networks, predominantly comprising frontoparietal, temporal and cerebellar regions. Significant associations were found between illness insight and two distinct structural networks comprising frontoparietal (pre- and postcentral gyrus, inferior parietal lobule, thalamus, and precuneus) and posterior cortical regions (cuneus, precuneus, lingual, posterior cingulate, and middle occipital gyrus). Finally, we found a significant relationship between illness insight and functional network comprising temporal regions (superior temporal gyrus). This study suggests that aberrant structural and functional integrity of neural systems subserving cognitive control, memory and self-reference are tightly coupled to illness insight in SZ.

摘要

精神分裂症(SZ)患者的疾病洞察力对治疗结果、社会融合有重要影响,并且可能在疾病过程中发生变化。为了应对和治疗疾病洞察力降低或缺失的情况,我们需要更好地了解其功能和结构相关性。先前的研究表明,与认知控制和自我参照相关的大脑区域存在区域性的脑容量异常。然而,我们对于精神分裂症患者的疾病洞察力与结构和功能网络强度之间的关联知之甚少。本研究采用横断面设计,使用结构和静息态功能磁共振成像(MRI)检查了 74 名精神分裂症患者(SZ 组)和 47 名健康对照者(HC 组)的结构和功能差异。对结构数据进行了基于体素的形态测量学分析,对功能数据计算了低频振幅(ALFF)。为了研究异常的结构/功能相互关系及其与疾病洞察力的关联,我们使用了并行独立成分分析(pICA)。在结构和功能上,都检测到了显著的组间差异(SZ 组与 HC 组),主要包括额顶叶、颞叶和小脑区域。疾病洞察力与两个不同的结构网络存在显著相关性,这两个网络主要包括额顶叶(额上、中、下回,顶下小叶,丘脑和楔前叶)和后皮质区域(楔叶、楔前叶、舌回、后扣带回和中枕叶)。最后,我们发现疾病洞察力与包括颞叶(颞上回)的功能网络之间存在显著的关系。本研究表明,认知控制、记忆和自我参照相关的神经系统的异常结构和功能完整性与 SZ 患者的疾病洞察力密切相关。

https://cdn.ncbi.nlm.nih.gov/pmc/blobs/af36/10713778/2a2f10436b68/406_2023_1566_Fig1_HTML.jpg

文献AI研究员

20分钟写一篇综述,助力文献阅读效率提升50倍。

立即体验

用中文搜PubMed

大模型驱动的PubMed中文搜索引擎

马上搜索

文档翻译

学术文献翻译模型,支持多种主流文档格式。

立即体验