Suppr超能文献

系统性炎症调节因子与增殖性糖尿病视网膜病变:一项双向孟德尔随机化研究。

Systemic inflammatory regulators and proliferative diabetic retinopathy: A bidirectional Mendelian randomization study.

机构信息

Department of Ophthalmology, Ningbo Hangzhou Bay Hospital, Ningbo, Zhejiang, China.

Department of Haematology, Ningbo Hangzhou Bay Hospital, Ningbo, Zhejiang, China.

出版信息

Front Immunol. 2023 Feb 10;14:1088778. doi: 10.3389/fimmu.2023.1088778. eCollection 2023.

Abstract

BACKGROUND

Increasing evidence shows that systemic inflammation is an embedded mechanism of proliferative diabetic retinopathy (PDR). However, the specific systemic inflammatory factors involved in this process remained obscure. The study aimed to identify the upstream and downstream systemic regulators of PDR by using Mendelian randomization (MR) analyses.

METHODS

We performed a bidirectional two-sample MR analysis implementing the results from genome-wide association studies for 41 serum cytokines from 8,293 Finnish individuals, and PDR from FinnGen consortium (2,025 cases vs. 284,826 controls) and eight cohorts of European ancestry (398 cases vs. 2,848 controls), respectively. The inverse-variance-weighted method was adopted as the main MR method, and four additional MR methods (MR-Egger, weighted-median, MR-pleiotropy residual sum and outlier (MR-PRESSO), and MR-Steiger filtering methods) were used for the sensitivity analyses. Results from FinnGen and eight cohorts were pooled into a meta-analysis.

RESULTS

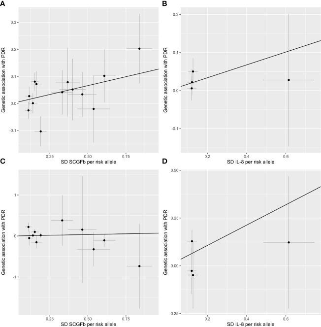
Our results showed that genetically predicted higher stem cell growth factor-β (SCGFb) and interleukin-8 were positively associated with an elevated risk of PDR, with a combined effect of one standard deviation (SD) increase in SCGFb and interleukin-8 causing 11.8% [95% confidence interval (CI): 0.6%, 24.2%]) and 21.4% [95% CI: 3.8%, 41.9%]) higher risk of PDR, respectively. In contrast, genetically predisposition to PDR showed a positive association with the increased levels of growth-regulated oncogene-α (GROa), stromal cell-derived factor-1 alpha (SDF1a), monocyte chemotactic protein-3 (MCP3), granulocyte colony-stimulating factor (GCSF), interleukin-12p70, and interleukin-2 receptor subunit alpha (IL-2ra).

CONCLUSIONS

Our MR study identified two upstream regulators and six downstream effectors of PDR, providing opportunities for new therapeutic exploitation of PDR onset. Nonetheless, these nominal associations of systemic inflammatory regulators and PDR require validation in larger cohorts.

摘要

背景

越来越多的证据表明,系统性炎症是增殖性糖尿病视网膜病变(PDR)的内在机制。然而,这一过程中涉及的具体系统性炎症因子仍不清楚。本研究旨在通过孟德尔随机化(MR)分析来确定 PDR 的上游和下游系统性调节剂。

方法

我们进行了双向两样本 MR 分析,利用来自 8293 名芬兰个体的 41 种血清细胞因子的全基因组关联研究结果,以及 FinnGen 联盟的 PDR(2025 例病例与 284826 例对照)和八个欧洲血统队列的 PDR(398 例病例与 2848 例对照)。采用逆方差加权法作为主要 MR 方法,并使用另外四种 MR 方法(MR-Egger、加权中位数、MR- 多效性残余和异常值(MR-PRESSO)和 MR-Steiger 筛选方法)进行敏感性分析。将 FinnGen 和八个队列的结果合并进行荟萃分析。

结果

我们的结果表明,遗传预测的较高的干细胞生长因子-β(SCGFb)和白细胞介素-8 与 PDR 风险升高呈正相关,SCGFb 和白细胞介素-8 各增加一个标准差(SD),分别导致 PDR 风险增加 11.8%(95%置信区间[CI]:0.6%,24.2%)和 21.4%(95% CI:3.8%,41.9%)。相比之下,遗传易感性与 PDR 与生长调节癌基因-α(GROa)、基质细胞衍生因子-1α(SDF1a)、单核细胞趋化蛋白-3(MCP3)、粒细胞集落刺激因子(GCSF)、白细胞介素-12p70 和白细胞介素-2 受体亚单位α(IL-2ra)水平升高呈正相关。

结论

我们的 MR 研究确定了 PDR 的两个上游调节剂和六个下游效应物,为 PDR 发病机制的新治疗方法提供了机会。然而,这些系统性炎症调节剂与 PDR 的名义关联需要在更大的队列中进行验证。

https://cdn.ncbi.nlm.nih.gov/pmc/blobs/e246/9950638/a9bdb76c7295/fimmu-14-1088778-g001.jpg

文献AI研究员

20分钟写一篇综述,助力文献阅读效率提升50倍。

立即体验

用中文搜PubMed

大模型驱动的PubMed中文搜索引擎

马上搜索

文档翻译

学术文献翻译模型,支持多种主流文档格式。

立即体验