Suppr超能文献

用于膀胱癌早期诊断的血清 miRNAs 特征。

A serum miRNAs signature for early diagnosis of bladder cancer.

机构信息

Department of Urology, University of Chinese Academy of Sciences-Shenzhen Hospital, Shenzhen, China.

Guangdong and Shenzhen Key Laboratory of Male Reproductive Medicine and Genetics, Peking University Shenzhen Hospital, Shenzhen, China.

出版信息

Ann Med. 2023 Dec;55(1):736-745. doi: 10.1080/07853890.2023.2172206.

Abstract

BACKGROUND

Bladder cancer accounts for the most common type of urologic malignancy and presents high recurrence rate after surgical resection and adjuvant intravesical therapy. We aim to search for an early diagnostic biomarker in serum for bladder cancer in this study.

METHODS

The expression profiles of miRNAs in serum samples of 112 bladder cancer patients and 112 healthy controls were detected with real-time polymerase chain reaction (RT-qPCR). Receiver operating characteristic (ROC) curve and area under curve (AUC) analysis were performed to assess the diagnostic efficiency of miRNAs. Stepwise logic regression analysis was used to construct a diagnostic signature with highest sensitivity and specificity. Bioinformatics analysis was applied to explore the potential biological functions and mechanisms of candidate miRNAs.

RESULTS

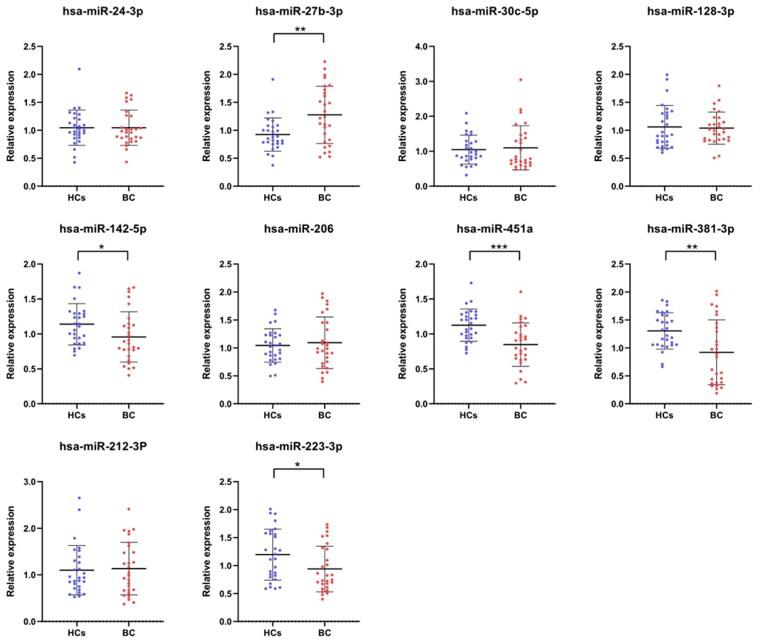
Five miRNAs including miR-451a, miR-381-3p, miR-223-3p, miR-142-5p and miR-27b-3p were found differentially expressed in serum samples of bladder patients and healthy subjects. The diagnostic signature was constructed with miR-27b-3p, miR-381-3p and miR-451a. AUC of the three-miRNA signature was 0.894 (0.837-0.936,  < 0.001). The sensitivity and specificity of this signature were 86.90% and 77.38%, respectively, indicating that this signature has a good ability to diagnose bladder cancer.

CONCLUSION

The three-miRNA signature we constructed has favorable diagnostic capacity and may be a promising non-invasive biomarker in the early diagnosis of bladder cancer.KEY MESSAGESThere is still no clinical utilization of serum miRNAs in the early detection of bladder cancer.We screened and constructed a three-miRNA signature with the sensitivity of 86.90% and specificity of 77.38% which may be a promising non-invasive biomarker in the early diagnosis of bladder cancer.

摘要

背景

膀胱癌是最常见的泌尿系统恶性肿瘤,在手术切除和辅助膀胱内治疗后复发率较高。本研究旨在寻找一种用于膀胱癌早期诊断的血清生物标志物。

方法

采用实时聚合酶链反应(RT-qPCR)检测 112 例膀胱癌患者和 112 例健康对照者血清中 miRNA 的表达谱。通过绘制受试者工作特征(ROC)曲线和计算曲线下面积(AUC)评估 miRNA 的诊断效率。采用逐步逻辑回归分析构建具有最高敏感性和特异性的诊断特征。应用生物信息学分析探索候选 miRNA 的潜在生物学功能和机制。

结果

在膀胱癌患者和健康对照者的血清样本中发现了 miR-451a、miR-381-3p、miR-223-3p、miR-142-5p 和 miR-27b-3p 等 5 种 miRNA 表达差异。构建了由 miR-27b-3p、miR-381-3p 和 miR-451a 组成的诊断特征。该三 miRNA 特征的 AUC 为 0.894(0.837-0.936,<0.001)。该特征的敏感性和特异性分别为 86.90%和 77.38%,表明该特征具有良好的膀胱癌诊断能力。

结论

本研究构建的三 miRNA 特征具有良好的诊断效能,可能是膀胱癌早期诊断有前途的非侵入性生物标志物。

关键信息

  • 目前在膀胱癌的早期检测中尚未临床应用血清 miRNA。

  • 我们筛选并构建了一个三 miRNA 特征,其敏感性为 86.90%,特异性为 77.38%,可能是膀胱癌早期诊断有前途的非侵入性生物标志物。

https://cdn.ncbi.nlm.nih.gov/pmc/blobs/1948/9980012/fec23533c8ed/IANN_A_2172206_F0001_C.jpg

文献AI研究员

20分钟写一篇综述,助力文献阅读效率提升50倍。

立即体验

用中文搜PubMed

大模型驱动的PubMed中文搜索引擎

马上搜索

文档翻译

学术文献翻译模型,支持多种主流文档格式。

立即体验