Suppr超能文献

帕金森病中的粪便微生物群移植——一项随机重复剂量、安慰剂对照的临床试点研究。

Fecal microbiota transplantation in Parkinson's disease-A randomized repeat-dose, placebo-controlled clinical pilot study.

作者信息

DuPont Herbert L, Suescun Jessika, Jiang Zhi-Dong, Brown Eric L, Essigmann Heather T, Alexander Ashley S, DuPont Andrew W, Iqbal Tehseen, Utay Netanya S, Newmark Michael, Schiess Mya C

机构信息

Microbiome Research Center, Kelsey Research Foundation, Houston, TX, United States.

Division of Epidemiology, Human Genetics and Environmental Sciences, University of Texas School of Public Health, Houston, TX, United States.

出版信息

Front Neurol. 2023 Mar 2;14:1104759. doi: 10.3389/fneur.2023.1104759. eCollection 2023.

Abstract

BACKGROUND AND PURPOSE

The intestinal microbiome plays a primary role in the pathogenesis of neurodegenerative disorders and may provide an opportunity for disease modification. We performed a pilot clinical study looking at the safety of fecal microbiota transplantation (FMT), its effect on the microbiome, and improvement of symptoms in Parkinson's disease.

METHODS

This was a randomized, double-blind placebo-controlled pilot study, wherein orally administered lyophilized FMT product or matching placebo was given to 12 subjects with mild to moderate Parkinson's disease with constipation twice weekly for 12 weeks. Subjects were followed for safety and clinical improvement for 9 additional months (total study duration 12 months).

RESULTS

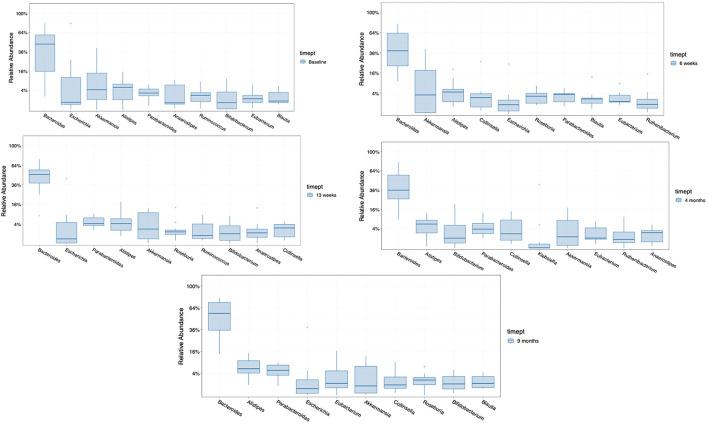
Fecal microbiota transplantation caused non-severe transient upper gastrointestinal symptoms. One subject receiving FMT was diagnosed with unrelated metastatic cancer and was removed from the trial. Beta diversity (taxa) of the microbiome, was similar comparing placebo and FMT groups at baseline, however, for subjects randomized to FMT, it increased significantly at 6 weeks ( = 0.008) and 13 weeks ( = 0.0008). After treatment with FMT, proportions of selective families within the phylum Firmicutes increased significantly, while proportion of microbiota belonging to Proteobacteria were significantly reduced. Objective motor findings showed only temporary improvement while subjective symptom improvements were reported compared to baseline in the group receiving FMT. Constipation, gut transient times (NS), and gut motility index ( = 0.0374) were improved in the FMT group.

CONCLUSIONS

Subjects with Parkinson's disease tolerated multi-dose-FMT, and experienced increased diversity of the intestinal microbiome that was associated with reduction in constipation and improved gut transit and intestinal motility. Fecal microbiota transplantation administration improved subjective motor and non-motor symptoms.

CLINICAL TRIAL REGISTRATION

ClinicalTrial.gov, identifier: NCT03671785.

摘要

背景与目的

肠道微生物群在神经退行性疾病的发病机制中起主要作用,可能为疾病改善提供机会。我们进行了一项初步临床研究,观察粪便微生物群移植(FMT)的安全性、其对微生物群的影响以及帕金森病症状的改善情况。

方法

这是一项随机、双盲、安慰剂对照的初步研究,12名患有轻度至中度帕金森病且伴有便秘的受试者,每周两次口服冻干FMT产品或匹配的安慰剂,持续12周。对受试者进行额外9个月的安全性和临床改善情况随访(总研究持续时间12个月)。

结果

粪便微生物群移植引起非严重的短暂上消化道症状。一名接受FMT的受试者被诊断出患有无关的转移性癌症,并被排除在试验之外。微生物群的β多样性(分类群)在基线时,安慰剂组和FMT组相似,然而,对于随机分配到FMT组的受试者,在第6周(P = 0.008)和第13周(P = 0.0008)时显著增加。FMT治疗后,厚壁菌门内选择性菌属的比例显著增加,而属于变形菌门微生物群的比例显著降低。客观运动结果仅显示暂时改善,而与基线相比,接受FMT组报告了主观症状改善。FMT组的便秘、肠道通过时间(无显著性差异)和肠道动力指数(P = 0.0374)得到改善。

结论

帕金森病受试者耐受多剂量FMT,并经历了肠道微生物群多样性增加,这与便秘减轻、肠道转运和肠道动力改善有关。粪便微生物群移植给药改善了主观运动和非运动症状。

临床试验注册

ClinicalTrial.gov,标识符:NCT03671785。

https://cdn.ncbi.nlm.nih.gov/pmc/blobs/f164/10019775/d1014f7955d6/fneur-14-1104759-g0001.jpg

文献AI研究员

20分钟写一篇综述,助力文献阅读效率提升50倍。

立即体验

用中文搜PubMed

大模型驱动的PubMed中文搜索引擎

马上搜索

文档翻译

学术文献翻译模型,支持多种主流文档格式。

立即体验