Suppr超能文献

病毒与宿主相互作用,宿主跨越了密集热液垫中微生物领域的远缘关系。

Viruses interact with hosts that span distantly related microbial domains in dense hydrothermal mats.

机构信息

Department of Organismic and Evolutionary Biology, Harvard University, Cambridge, MA, USA.

DOE (Department of Energy) Joint Genome Institute, Lawrence Berkeley National Laboratory, Berkeley, CA, USA.

出版信息

Nat Microbiol. 2023 May;8(5):946-957. doi: 10.1038/s41564-023-01347-5. Epub 2023 Apr 6.

Abstract

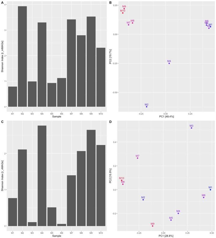
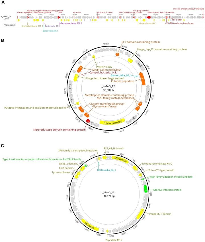
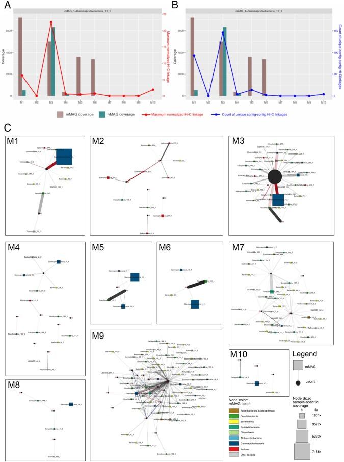
Many microbes in nature reside in dense, metabolically interdependent communities. We investigated the nature and extent of microbe-virus interactions in relation to microbial density and syntrophy by examining microbe-virus interactions in a biomass dense, deep-sea hydrothermal mat. Using metagenomic sequencing, we find numerous instances where phylogenetically distant (up to domain level) microbes encode CRISPR-based immunity against the same viruses in the mat. Evidence of viral interactions with hosts cross-cutting microbial domains is particularly striking between known syntrophic partners, for example those engaged in anaerobic methanotrophy. These patterns are corroborated by proximity-ligation-based (Hi-C) inference. Surveys of public datasets reveal additional viruses interacting with hosts across domains in diverse ecosystems known to harbour syntrophic biofilms. We propose that the entry of viral particles and/or DNA to non-primary host cells may be a common phenomenon in densely populated ecosystems, with eco-evolutionary implications for syntrophic microbes and CRISPR-mediated inter-population augmentation of resilience against viruses.

摘要

自然界中的许多微生物生活在密集的、代谢相互依存的群落中。我们通过研究深海热液垫中微生物生物量密集的微生物-病毒相互作用,调查了微生物-病毒相互作用与微生物密度和共生关系的性质和程度。利用宏基因组测序,我们发现了许多在系统发育上相距较远(甚至到域水平)的微生物编码基于 CRISPR 的免疫,以抵御基质中的相同病毒。在已知的共生伙伴之间,特别是在参与厌氧甲烷营养的伙伴之间,病毒与宿主之间的相互作用证据横跨微生物域,这一点尤为引人注目。这些模式得到了基于邻近连接的(Hi-C)推断的证实。对公共数据集的调查揭示了在已知存在共生生物膜的不同生态系统中,跨越不同领域的其他病毒与宿主相互作用。我们提出,病毒颗粒和/或 DNA 进入非主要宿主细胞可能是密集生态系统中的一种常见现象,这对共生微生物和 CRISPR 介导的种群间增强对病毒的弹性具有生态进化意义。

https://cdn.ncbi.nlm.nih.gov/pmc/blobs/d27c/10159854/e3c517690ab6/41564_2023_1347_Fig1_HTML.jpg

文献AI研究员

20分钟写一篇综述,助力文献阅读效率提升50倍。

立即体验

用中文搜PubMed

大模型驱动的PubMed中文搜索引擎

马上搜索

文档翻译

学术文献翻译模型,支持多种主流文档格式。

立即体验