Suppr超能文献

酶和温度约束的基因组规模模型的参数推断。

Parameter inference for enzyme and temperature constrained genome-scale models.

机构信息

Department of Biotechnology and Food Science, NTNU- Norwegian University of Science and Technology, Trondheim, Norway.

K.G. Jebsen Center for Genetic Epidemiology, Department of Public Health and General Practice, NTNU - Norwegian University of Science and Technology, Trondheim, Norway.

出版信息

Sci Rep. 2023 Apr 13;13(1):6079. doi: 10.1038/s41598-023-32982-x.

Abstract

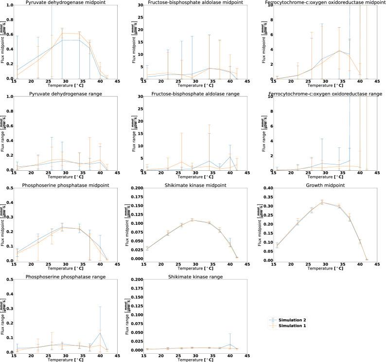
The metabolism of all living organisms is dependent on temperature, and therefore, having a good method to predict temperature effects at a system level is of importance. A recently developed Bayesian computational framework for enzyme and temperature constrained genome-scale models (etcGEM) predicts the temperature dependence of an organism's metabolic network from thermodynamic properties of the metabolic enzymes, markedly expanding the scope and applicability of constraint-based metabolic modelling. Here, we show that the Bayesian calculation method for inferring parameters for an etcGEM is unstable and unable to estimate the posterior distribution. The Bayesian calculation method assumes that the posterior distribution is unimodal, and thus fails due to the multimodality of the problem. To remedy this problem, we developed an evolutionary algorithm which is able to obtain a diversity of solutions in this multimodal parameter space. We quantified the phenotypic consequences on six metabolic network signature reactions of the different parameter solutions resulting from use of the evolutionary algorithm. While two of these reactions showed little phenotypic variation between the solutions, the remainder displayed huge variation in flux-carrying capacity. This result indicates that the model is under-determined given current experimental data and that more data is required to narrow down the model predictions. Finally, we made improvements to the software to reduce the running time of the parameter set evaluations by a factor of 8.5, allowing for obtaining results faster and with less computational resources.

摘要

所有生物体的新陈代谢都依赖于温度,因此,拥有一种很好的方法来预测系统层面的温度效应非常重要。最近开发的一种贝叶斯计算框架,用于酶和温度约束的基因组尺度模型(etcGEM),可以根据代谢酶的热力学性质预测生物体代谢网络的温度依赖性,显著扩大了基于约束的代谢建模的范围和适用性。在这里,我们表明,用于推断 etcGEM 参数的贝叶斯计算方法不稳定,无法估计后验分布。贝叶斯计算方法假设后验分布是单峰的,因此由于问题的多峰性而失败。为了解决这个问题,我们开发了一种进化算法,该算法能够在这个多峰参数空间中获得多种解决方案。我们量化了使用进化算法得到的不同参数解决方案对六个代谢网络特征反应的表型后果。虽然其中两个反应在解决方案之间表现出很少的表型变化,但其余反应的通量承载能力表现出巨大的变化。这一结果表明,给定当前的实验数据,模型的确定性不足,需要更多的数据来缩小模型预测的范围。最后,我们对软件进行了改进,将参数集评估的运行时间减少了 8.5 倍,从而可以更快地获得结果,并且使用的计算资源更少。

https://cdn.ncbi.nlm.nih.gov/pmc/blobs/790e/10102030/4d4b422e36c1/41598_2023_32982_Fig1_HTML.jpg

文献AI研究员

20分钟写一篇综述,助力文献阅读效率提升50倍。

立即体验

用中文搜PubMed

大模型驱动的PubMed中文搜索引擎

马上搜索

文档翻译

学术文献翻译模型,支持多种主流文档格式。

立即体验