Suppr超能文献

原生演替改变了尾矿上原生生物群落的组成和功能,尤其是光合原生生物。

Primary Succession Changes the Composition and Functioning of the Protist Community on Mine Tailings, Especially Phototrophic Protists.

作者信息

Li Yongbin, Gao Pin, Sun Xiaoxu, Li Baoqin, Guo Lifang, Yang Rui, Su Xianfa, Gao Wenlong, Xu Zhimin, Yan Geng, Wang Qi, Sun Weimin

机构信息

National-Regional Joint Engineering Research Center for Soil Pollution Control and Remediation in South China, Guangdong Key Laboratory of Integrated Agro-environmental Pollution Control and Management, Institute of Eco-environmental and Soil Sciences, Guangdong Academy of Sciences, Guangzhou 510650, China.

School of Environment, Key Laboratory of Yellow River and Huai River Water Environment and Pollution Control, Ministry of Education, Henan Normal University, Xinxiang 453007, P.R. China.

出版信息

ACS Environ Au. 2022 Jun 29;2(5):396-408. doi: 10.1021/acsenvironau.1c00066. eCollection 2022 Sep 21.

Abstract

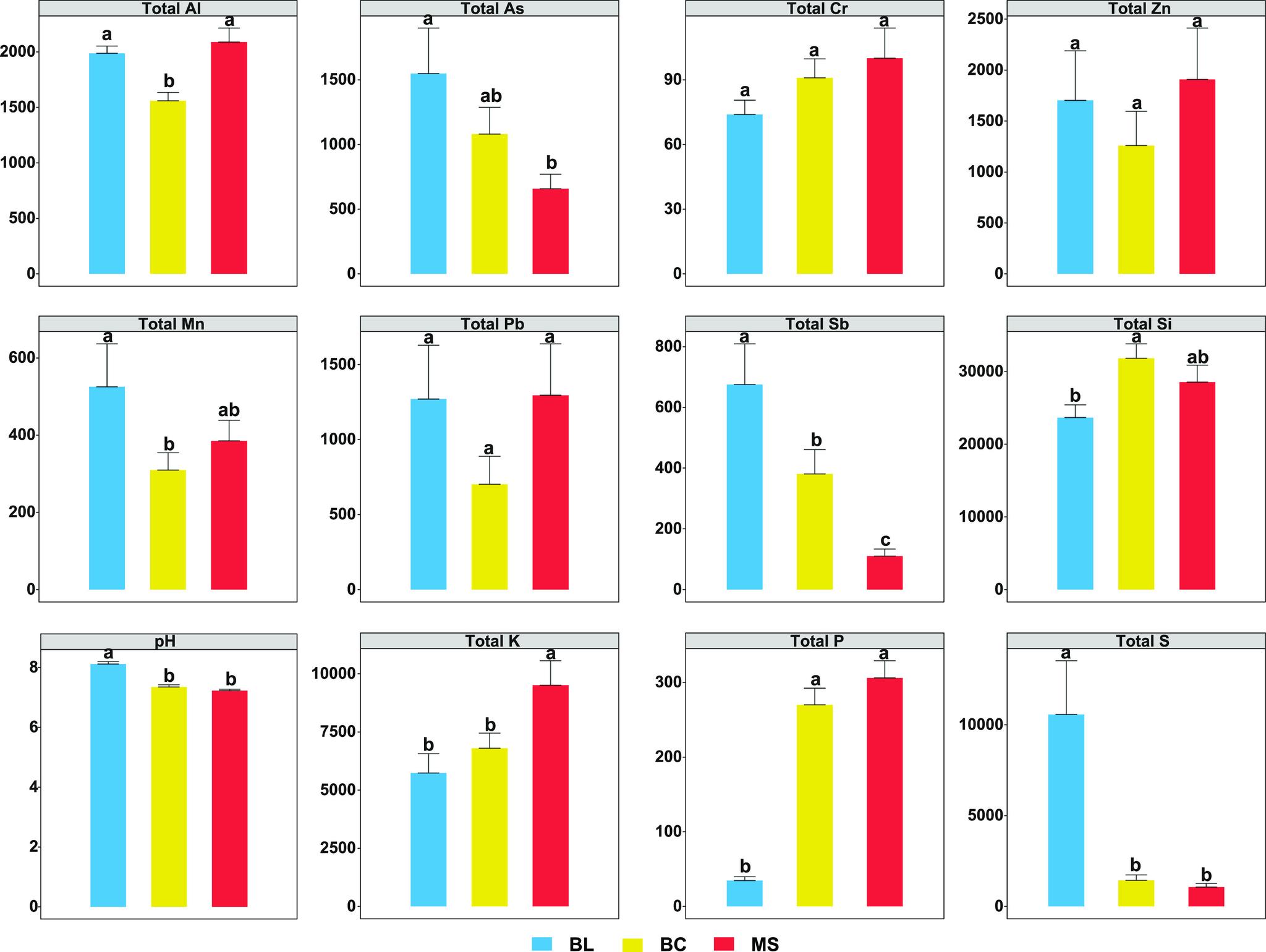
Primary succession in mine tailings is a prerequisite for tailing vegetation. Microorganisms, including bacteria, fungi, and protists, play an important role in this process in the driving force for improving the nutritional status. Compared to bacteria and fungi, protist populations have rarely been investigated regarding their role in mine tailings, especially for those inhabiting tailings associated with primary succession. Protists are the primary consumers of fungi and bacteria, and their predatory actions promote the release of nutrients immobilized in the microbial biomass, as well as the uptake and turnover of nutrients, affecting the functions of the wider ecosystems. In this study, three different types of mine tailings associated with three successional stages (original tailings, biological crusts, and grasslands) were selected to characterize the protistan community diversity, structure, and function during primary succession. Some members classified as consumers dominated the network of microbial communities in the tailings, especially in the original bare land tailings. The keystone phototrophs of Chlorophyceae and Trebouxiophyceae showed the highest relative abundance in the biological crusts and grassland rhizosphere, respectively. In addition, the co-occurrences between protist and bacterial taxa demonstrated that the proportion of protistan phototrophs gradually increased during primary succession. Further, the metagenomic analysis of protistan metabolic potential showed that abundances of many functional genes associated with photosynthesis increased during the primary succession of tailings. Overall, these results suggest that the primary succession of mine tailings drives the changes observed in the protistan community, and in turn, the protistan phototrophs facilitate the primary succession of tailings. This research offers an initial insight into the changes in biodiversity, structure, and function of the protistan community during ecological succession on tailings.

摘要

尾矿中的原生演替是尾矿植被生长的前提条件。微生物,包括细菌、真菌和原生生物,在这一过程中发挥着重要作用,是改善营养状况的驱动力。与细菌和真菌相比,原生生物种群在尾矿中的作用很少被研究,尤其是那些与原生演替相关的尾矿中的原生生物。原生生物是真菌和细菌的主要消费者,它们的捕食行为促进了固定在微生物生物量中的养分释放,以及养分的吸收和周转,影响着更广泛生态系统的功能。在本研究中,选取了与三个演替阶段(原始尾矿、生物结皮和草地)相关的三种不同类型的尾矿,以表征原生生物群落多样性、结构和原生演替过程中的功能。一些被归类为消费者的成员主导了尾矿中微生物群落的网络,尤其是在原始裸地尾矿中。绿藻纲和 trebouxiphyceae 的关键光合生物分别在生物结皮和草地根际中显示出最高的相对丰度。此外,原生生物和细菌类群之间的共现表明,原生生物光合生物的比例在原生演替过程中逐渐增加。此外,对原生生物代谢潜力的宏基因组分析表明,与光合作用相关的许多功能基因的丰度在尾矿的原生演替过程中增加。总体而言,这些结果表明,尾矿的原生演替驱动了原生生物群落中观察到的变化,反过来,原生生物光合生物促进了尾矿的原生演替。这项研究初步揭示了尾矿生态演替过程中原生生物群落生物多样性、结构和功能的变化。

https://cdn.ncbi.nlm.nih.gov/pmc/blobs/a0e4/10125303/c9821fc3137a/vg1c00066_0002.jpg

文献AI研究员

20分钟写一篇综述,助力文献阅读效率提升50倍。

立即体验

用中文搜PubMed

大模型驱动的PubMed中文搜索引擎

马上搜索

文档翻译

学术文献翻译模型,支持多种主流文档格式。

立即体验