Suppr超能文献

评估 SARS-CoV-2 疫苗诱导免疫的衰减:系统评价和荟萃分析。

Evaluation of Waning of SARS-CoV-2 Vaccine-Induced Immunity: A Systematic Review and Meta-analysis.

机构信息

Center for Health Emergencies, Bruno Kessler Foundation, Trento, Italy.

Department of Mathematics, University of Trento, Trento, Italy.

出版信息

JAMA Netw Open. 2023 May 1;6(5):e2310650. doi: 10.1001/jamanetworkopen.2023.10650.

Abstract

IMPORTANCE

Estimates of the rate of waning of vaccine effectiveness (VE) against COVID-19 are key to assess population levels of protection and future needs for booster doses to face the resurgence of epidemic waves.

OBJECTIVE

To quantify the progressive waning of VE associated with the Delta and Omicron variants of SARS-CoV-2 by number of received doses.

DATA SOURCES

PubMed and Web of Science were searched from the databases' inception to October 19, 2022, as well as reference lists of eligible articles. Preprints were included.

STUDY SELECTION

Selected studies for this systematic review and meta-analysis were original articles reporting estimates of VE over time against laboratory-confirmed SARS-CoV-2 infection and symptomatic disease.

DATA EXTRACTION AND SYNTHESIS

Estimates of VE at different time points from vaccination were retrieved from original studies. A secondary data analysis was performed to project VE at any time from last dose administration, improving the comparability across different studies and between the 2 considered variants. Pooled estimates were obtained from random-effects meta-analysis.

MAIN OUTCOMES AND MEASURES

Outcomes were VE against laboratory-confirmed Omicron or Delta infection and symptomatic disease and half-life and waning rate associated with vaccine-induced protection.

RESULTS

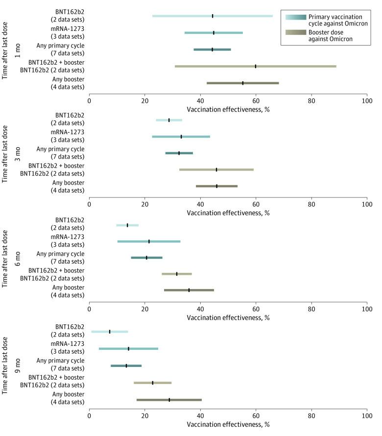
A total of 799 original articles and 149 reviews published in peer-reviewed journals and 35 preprints were identified. Of these, 40 studies were included in the analysis. Pooled estimates of VE of a primary vaccination cycle against laboratory-confirmed Omicron infection and symptomatic disease were both lower than 20% at 6 months from last dose administration. Booster doses restored VE to levels comparable to those acquired soon after the administration of the primary cycle. However, 9 months after booster administration, VE against Omicron was lower than 30% against laboratory-confirmed infection and symptomatic disease. The half-life of VE against symptomatic infection was estimated to be 87 days (95% CI, 67-129 days) for Omicron compared with 316 days (95% CI, 240-470 days) for Delta. Similar waning rates of VE were found for different age segments of the population.

CONCLUSIONS AND RELEVANCE

These findings suggest that the effectiveness of COVID-19 vaccines against laboratory-confirmed Omicron or Delta infection and symptomatic disease rapidly wanes over time after the primary vaccination cycle and booster dose. These results can inform the design of appropriate targets and timing for future vaccination programs.

摘要

重要性

评估 COVID-19 疫苗效力(VE)随时间推移而逐渐减弱的估计值是评估人群保护水平和未来面对疫情波峰所需加强针剂量的关键。

目的

通过接种次数量化与 SARS-CoV-2 的 Delta 和奥密克戎变异株相关的 VE 逐渐减弱的情况。

数据来源

从数据库创建之初到 2022 年 10 月 19 日,PubMed 和 Web of Science 进行了搜索,并查阅了合格文章的参考文献列表。预印本也包括在内。

研究选择

本次系统评价和荟萃分析选择的研究是报告随时间推移针对实验室确诊的 SARS-CoV-2 感染和有症状疾病的 VE 估计值的原始文章。

数据提取和综合

从原始研究中检索出不同时间点的 VE 估计值。对末次剂量接种后的任何时间点进行二次数据分析,提高了不同研究之间以及两种考虑变异株之间的可比性。采用随机效应荟萃分析获得汇总估计值。

主要结果和措施

结果是针对实验室确诊的奥密克戎或德尔塔感染和有症状疾病的 VE,以及与疫苗诱导保护相关的半衰期和衰减率。

结果

共确定了 799 篇原始文章和 149 篇发表在同行评议期刊上的综述以及 35 篇预印本。其中,40 项研究被纳入分析。末次剂量接种 6 个月后,针对实验室确诊的奥密克戎感染和有症状疾病的初级疫苗接种周期的 VE 均低于 20%。加强针恢复了与初级周期接种后不久获得的 VE 水平相当的水平。然而,加强针接种 9 个月后,针对实验室确诊感染和有症状疾病的奥密克戎的 VE 低于 30%。针对有症状感染的 VE 半衰期估计为奥密克戎 87 天(95%CI,67-129 天),而德尔塔为 316 天(95%CI,240-470 天)。在不同年龄段的人群中,VE 衰减率相似。

结论和相关性

这些发现表明,在初级疫苗接种周期和加强针之后,COVID-19 疫苗对实验室确诊的奥密克戎或德尔塔感染和有症状疾病的有效性随时间推移迅速减弱。这些结果可以为未来疫苗接种计划的目标和时间制定提供信息。

https://cdn.ncbi.nlm.nih.gov/pmc/blobs/ac8c/10157431/8adffe5a773b/jamanetwopen-e2310650-g001.jpg

文献AI研究员

20分钟写一篇综述,助力文献阅读效率提升50倍。

立即体验

用中文搜PubMed

大模型驱动的PubMed中文搜索引擎

马上搜索

文档翻译

学术文献翻译模型,支持多种主流文档格式。

立即体验