Suppr超能文献

用于程序性死亡配体1成像的小分子正电子发射断层显像示踪剂的设计与生物学评价

Design and Biological Evaluation of Small-Molecule PET-Tracers for Imaging of Programmed Death Ligand 1.

作者信息

Krutzek Fabian, Donat Cornelius K, Ullrich Martin, Zarschler Kristof, Ludik Marie-Charlotte, Feldmann Anja, Loureiro Liliana R, Kopka Klaus, Stadlbauer Sven

机构信息

Helmholtz-Zentrum Dresden-Rossendorf, Institute of Radiopharmaceutical Cancer Research, Bautzner Landstraße 400, 01328 Dresden, Germany.

School of Science, Faculty of Chemistry and Food Chemistry, Technische Universität Dresden, Mommsenstraße 4, 01069 Dresden, Germany.

出版信息

Cancers (Basel). 2023 May 6;15(9):2638. doi: 10.3390/cancers15092638.

Abstract

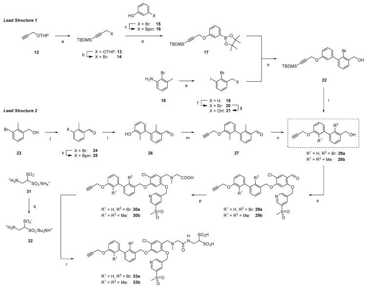
Noninvasive molecular imaging of the PD-1/PD-L1 immune checkpoint is of high clinical relevance for patient stratification and therapy monitoring in cancer patients. Here we report nine small-molecule PD-L1 radiotracers with solubilizing sulfonic acids and a linker-chelator system, designed by molecular docking experiments and synthesized according to a new, convergent synthetic strategy. Binding affinities were determined both in cellular saturation and real-time binding assay (LigandTracer), revealing dissociation constants in the single digit nanomolar range. Incubation in human serum and liver microsomes proved in vitro stability of these compounds. Small animal PET/CT imaging, in mice bearing PD-L1 overexpressing and PD-L1 negative tumors, showed moderate to low uptake. All compounds were cleared primarily through the hepatobiliary excretion route and showed a long circulation time. The latter was attributed to strong blood albumin binding effects, discovered during our binding experiments. Taken together, these compounds are a promising starting point for further development of a new class of PD-L1 targeting radiotracers.

摘要

PD-1/PD-L1免疫检查点的非侵入性分子成像对于癌症患者的分层和治疗监测具有高度临床相关性。在此,我们报告了九种具有磺酸增溶基团和连接体-螯合剂系统的小分子PD-L1放射性示踪剂,这些示踪剂通过分子对接实验设计,并根据一种新的汇聚合成策略合成。通过细胞饱和实验和实时结合测定(LigandTracer)确定了结合亲和力,解离常数在个位数纳摩尔范围内。在人血清和肝微粒体中的孵育证明了这些化合物的体外稳定性。在携带过表达PD-L1和PD-L1阴性肿瘤的小鼠中进行的小动物PET/CT成像显示摄取为中度至低度。所有化合物主要通过肝胆排泄途径清除,并且显示出较长的循环时间。后者归因于我们在结合实验中发现的与血液白蛋白的强烈结合作用。综上所述,这些化合物是进一步开发新型PD-L1靶向放射性示踪剂的有希望的起点。

https://cdn.ncbi.nlm.nih.gov/pmc/blobs/e51f/10177516/2a08ffb930e8/cancers-15-02638-g001.jpg

文献AI研究员

20分钟写一篇综述,助力文献阅读效率提升50倍。

立即体验

用中文搜PubMed

大模型驱动的PubMed中文搜索引擎

马上搜索

文档翻译

学术文献翻译模型,支持多种主流文档格式。

立即体验