Suppr超能文献

不同玉米品种上(鳞翅目:夜蛾科)的产卵偏好及年龄-龄期两性生命表分析

Oviposition Preference and Age-Stage, Two-Sex Life Table Analysis of (Lepidoptera: Noctuidae) on Different Maize Varieties.

作者信息

Zhang Qiang-Yan, Zhang Yan-Lei, Quandahor Peter, Gou Yu-Ping, Li Chun-Chun, Zhang Ke-Xin, Liu Chang-Zhong

机构信息

Biocontrol Engineering Laboratory of Crop Diseases and Pests of Gansu Province, College of Plant Protection, Gansu Agricultural University, Lanzhou 730070, China.

CSIR-Savanna Agricultural Research Institute, Tamale P.O. Box 52, Ghana.

出版信息

Insects. 2023 Apr 26;14(5):413. doi: 10.3390/insects14050413.

Abstract

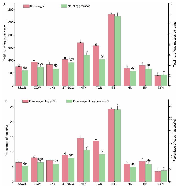
Host plants play an important role in the growth, development, and reproduction of insects. However, only a few studies have reported the effects of maize varieties on the growth and reproduction of . In this study, a free-choice test was used to evaluate the oviposition preferences of female adults on ten common maize varieties and ten special maize varieties. The population fitness of on six different maize varieties was also examined using the age-stage, two-sex life table method. The results showed that oviposited and completed its life cycle across all maize cultivars. Moreover, the females exhibited a significantly higher oviposition preference on the special maize varieties than on the common maize varieties. The highest number of eggs and egg masses occurred on Baitiannuo and the lowest on Zhengdan 958. The egg + larval stage, preadult, pupal stage, adult, APOP, TPOP, and total longevity of were significantly shorter on the special maize varieties than on the common maize varieties. The fecundity, oviposition days, pupal weight, and hatching rate of were significantly higher on the special maize varieties than on the common maize varieties. Specifically, had the highest fecundity, female, and male pupal weight on Baitiannuo. Moreover, the net reproductive rate (), intrinsic rate of increase (), and finite rate of increase () of were the greatest on Baitiannuo, whereas the shortest mean generation time () occurred on Zaocuiwang. The lowest , , and , and longest occurred on Zhengdan 958, suggesting that Zhengdan 958 is a non-preferred host plant compared to the other tested maize varieties. The findings of this study can provide a reference for the rational planting of maize and provide basic scientific information for the management of .

摘要

寄主植物在昆虫的生长、发育和繁殖中起着重要作用。然而,仅有少数研究报道了玉米品种对[昆虫名称]生长和繁殖的影响。在本研究中,采用自由选择试验来评估雌成虫对10个普通玉米品种和10个特殊玉米品种的产卵偏好。还使用年龄-阶段两性生命表方法研究了[昆虫名称]在6个不同玉米品种上的种群适合度。结果表明,[昆虫名称]在所有玉米品种上都能产卵并完成其生命周期。此外,[昆虫名称]雌虫对特殊玉米品种的产卵偏好显著高于普通玉米品种。在“白甜糯”上产下的卵和卵块数量最多,在“郑单958”上最少。[昆虫名称]在特殊玉米品种上的卵+幼虫期、成虫前期、蛹期、成虫期、净增殖率、总增殖率和总寿命显著短于普通玉米品种。[昆虫名称]在特殊玉米品种上的繁殖力、产卵天数、蛹重和孵化率显著高于普通玉米品种。具体而言,[昆虫名称]在“白甜糯”上具有最高的繁殖力、雌蛹重和雄蛹重。此外,[昆虫名称]在“白甜糯”上的净增殖率(R0)、内禀增长率(rm)和周限增长率(λ)最大,而在“早脆王”上平均世代时间(T)最短。在“郑单958”上R0、rm和λ最低,T最长,这表明与其他测试玉米品种相比,“郑单958”是一种非偏好寄主植物。本研究结果可为玉米的合理种植提供参考,并为[昆虫名称]的治理提供基础科学信息。

https://cdn.ncbi.nlm.nih.gov/pmc/blobs/c4a7/10231092/df9664b9228f/insects-14-00413-g001.jpg

文献AI研究员

20分钟写一篇综述,助力文献阅读效率提升50倍。

立即体验

用中文搜PubMed

大模型驱动的PubMed中文搜索引擎

马上搜索

文档翻译

学术文献翻译模型,支持多种主流文档格式。

立即体验