Suppr超能文献

城市公共交通中新冠病毒病的多尺度风险评估与缓解措施比较:一种结合现场测量与建模的方法

Multi-scale risk assessment and mitigations comparison for COVID-19 in urban public transport: A combined field measurement and modeling approach.

作者信息

Feng Yinshuai, Zhang Yan, Ding Xiaotian, Fan Yifan, Ge Jian

机构信息

College of Civil Engineering and Architecture, Zhejiang University, Hangzhou, China.

Center for Balance Architecture, Zhejiang University, Hangzhou, China.

出版信息

Build Environ. 2023 Aug 15;242:110489. doi: 10.1016/j.buildenv.2023.110489. Epub 2023 Jun 2.

Abstract

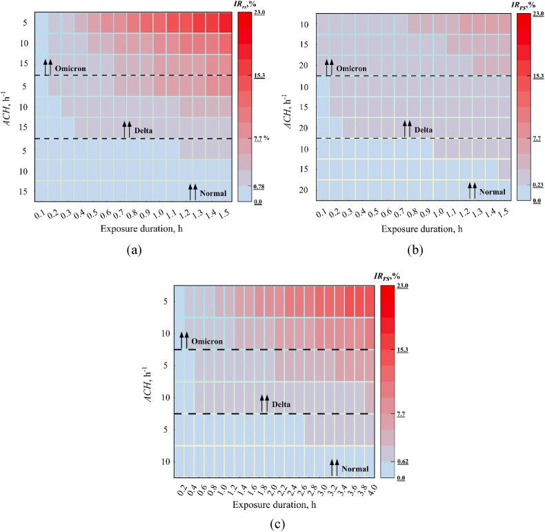
The outbreak of the severe acute respiratory syndrome coronavirus 2 (SARS-CoV-2) pandemic has caused an unparalleled disruption to daily life. Given that COVID-19 primarily spreads in densely populated indoor areas, urban public transport (UPT) systems pose significant risks. This study presents an analysis of the air change rate in buses, subways, and high speed trains based on measured CO concentrations and passenger behaviors. The resulting values were used as inputs for an infection risk assessment model, which was used to quantitatively evaluate the effects of various factors, including ventilation rates, respiratory activities, and viral variants, on the infection risk. The findings demonstrate that ventilation has a negligible impact on reducing average risks (less than 10.0%) for short-range scales, but can result in a reduction of average risks by 32.1%-57.4% for room scales. When all passengers wear masks, the average risk reduction ranges from 4.5-folds to 7.5-folds. Based on our analysis, the average total reproduction numbers () of subways are 1.4-folds higher than buses, and 2-folds higher than high speed trains. Additionally, it is important to note that the Omicron variant may result in a much higher value, estimated to be approximately 4.9-folds higher than the Delta variant. To reduce disease transmission, it is important to keep the value below 1. Thus, two indices have been proposed: time-scale based exposure thresholds and spatial-scale based upper limit warnings. Mask wearing provides the greatest protection against infection in the face of long exposure duration to the omicron epidemic.

摘要

严重急性呼吸综合征冠状病毒2(SARS-CoV-2)大流行的爆发给日常生活带来了前所未有的破坏。鉴于2019冠状病毒病(COVID-19)主要在人口密集的室内区域传播,城市公共交通(UPT)系统构成了重大风险。本研究基于实测的一氧化碳(CO)浓度和乘客行为,对公交车、地铁和高速列车的换气率进行了分析。所得值被用作感染风险评估模型的输入,该模型用于定量评估通风率、呼吸活动和病毒变体等各种因素对感染风险的影响。研究结果表明,通风对降低短程尺度的平均风险(小于10.0%)影响可忽略不计,但对房间尺度可使平均风险降低32.1%-57.4%。当所有乘客都戴口罩时,平均风险降低幅度为4.5倍至7.5倍。根据我们的分析,地铁的平均总繁殖数()比公交车高1.4倍,比高速列车高2倍。此外,需要注意的是,奥密克戎变体可能导致更高的 值,估计比德尔塔变体高约4.9倍。为减少疾病传播,将 值保持在1以下很重要。因此,提出了两个指标:基于时间尺度的暴露阈值和基于空间尺度的上限警告。在面对长时间暴露于奥密克戎疫情时,戴口罩对预防感染提供了最大的保护。

https://cdn.ncbi.nlm.nih.gov/pmc/blobs/a3d6/10236904/7243c4c34a3e/gr1_lrg.jpg

文献AI研究员

20分钟写一篇综述,助力文献阅读效率提升50倍。

立即体验

用中文搜PubMed

大模型驱动的PubMed中文搜索引擎

马上搜索

文档翻译

学术文献翻译模型,支持多种主流文档格式。

立即体验