Suppr超能文献

全球分析德尔塔和奥密克戎变异株流行期间 COVID-19 感染病死率及其相关因素:一项生态学研究。

A global analysis of COVID-19 infection fatality rate and its associated factors during the Delta and Omicron variant periods: an ecological study.

机构信息

School of Health Care Administration, College of Management, Taipei Medical University, Taipei, Taiwan.

Health Personnel Training Institute, University of Medicine and Pharmacy, Hue University, Hue, Vietnam.

出版信息

Front Public Health. 2023 Jun 2;11:1145138. doi: 10.3389/fpubh.2023.1145138. eCollection 2023.

Abstract

BACKGROUND

The Omicron variant of SARS-CoV-2 is more highly infectious and transmissible than prior variants of concern. It was unclear which factors might have contributed to the alteration of COVID-19 cases and deaths during the Delta and Omicron variant periods. This study aimed to compare the COVID-19 average weekly infection fatality rate (AWIFR), investigate factors associated with COVID-19 AWIFR, and explore the factors linked to the increase in COVID-19 AWIFR between two periods of Delta and Omicron variants.

MATERIALS AND METHODS

An ecological study has been conducted among 110 countries over the first 12 weeks during two periods of Delta and Omicron variant dominance using open publicly available datasets. Our analysis included 102 countries in the Delta period and 107 countries in the Omicron period. Linear mixed-effects models and linear regression models were used to explore factors associated with the variation of AWIFR over Delta and Omicron periods.

FINDINGS

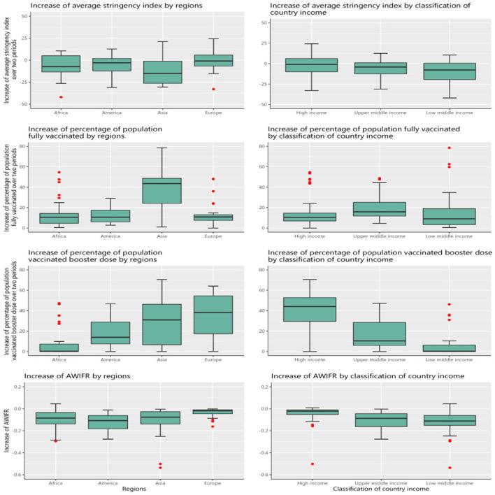
During the Delta period, the lower AWIFR was witnessed in countries with better government effectiveness index [β = -0.762, 95% CI (-1.238)-(-0.287)] and higher proportion of the people fully vaccinated [β = -0.385, 95% CI (-0.629)-(-0.141)]. In contrast, a higher burden of cardiovascular diseases was positively associated with AWIFR (β = 0.517, 95% CI 0.102-0.932). Over the Omicron period, while years lived with disability (YLD) caused by metabolism disorders (β = 0.843, 95% CI 0.486-1.2), the proportion of the population aged older than 65 years (β = 0.737, 95% CI 0.237-1.238) was positively associated with poorer AWIFR, and the high proportion of the population vaccinated with a booster dose [β = -0.321, 95% CI (-0.624)-(-0.018)] was linked with the better outcome. Over two periods of Delta and Omicron, the increase in government effectiveness index was associated with a decrease in AWIFR [β = -0.438, 95% CI (-0.750)-(-0.126)]; whereas, higher death rates caused by diabetes and kidney (β = 0.472, 95% CI 0.089-0.855) and percentage of population aged older than 65 years (β = 0.407, 95% CI 0.013-0.802) were associated with a significant increase in AWIFR.

CONCLUSION

The COVID-19 infection fatality rates were strongly linked with the coverage of vaccination rate, effectiveness of government, and health burden related to chronic diseases. Therefore, proper policies for the improvement of vaccination coverage and support of vulnerable groups could substantially mitigate the burden of COVID-19.

摘要

背景

SARS-CoV-2 的奥密克戎变体比之前的关切变体更具传染性和传播性。尚不清楚哪些因素可能导致德尔塔和奥密克戎变体期间 COVID-19 病例和死亡人数的变化。本研究旨在比较 COVID-19 平均每周感染病死率(AWIFR),探讨与 COVID-19 AWIFR 相关的因素,并探讨在德尔塔和奥密克戎变体两个时期之间导致 COVID-19 AWIFR 增加的因素。

材料和方法

在德尔塔和奥密克戎变体主导的前 12 周内,使用公开的可获得数据集,对 110 个国家进行了生态研究。我们的分析包括德尔塔时期的 102 个国家和奥密克戎时期的 107 个国家。线性混合效应模型和线性回归模型用于探索与德尔塔和奥密克戎时期 AWIFR 变化相关的因素。

结果

在德尔塔时期,政府效能指数较好的国家的 AWIFR 较低[β=-0.762,95%CI(-1.238)-(-0.287)],完全接种疫苗的人口比例较高的国家的 AWIFR 较低[β=-0.385,95%CI(-0.629)-(-0.141)]。相比之下,心血管疾病负担较高与 AWIFR 呈正相关(β=0.517,95%CI 0.102-0.932)。在奥密克戎时期,虽然由代谢紊乱引起的伤残年数(YLD)(β=0.843,95%CI 0.486-1.2)和 65 岁以上人口比例(β=0.737,95%CI 0.237-1.238)与较差的 AWIFR 呈正相关,但高比例的人群接种加强针[β=-0.321,95%CI(-0.624)-(-0.018)]与更好的结果相关。在德尔塔和奥密克戎两个时期,政府效能指数的提高与 AWIFR 的降低有关[β=-0.438,95%CI(-0.750)-(-0.126)];而糖尿病和肾脏导致的死亡率较高(β=0.472,95%CI 0.089-0.855)和 65 岁以上人口比例较高(β=0.407,95%CI 0.013-0.802)与 AWIFR 的显著增加有关。

结论

COVID-19 感染病死率与疫苗接种率、政府效能和与慢性病相关的健康负担密切相关。因此,改善疫苗接种覆盖率和支持弱势群体的适当政策可以显著减轻 COVID-19 的负担。

https://cdn.ncbi.nlm.nih.gov/pmc/blobs/0299/10274323/c083237eb780/fpubh-11-1145138-g0001.jpg

文献AI研究员

20分钟写一篇综述,助力文献阅读效率提升50倍。

立即体验

用中文搜PubMed

大模型驱动的PubMed中文搜索引擎

马上搜索

文档翻译

学术文献翻译模型,支持多种主流文档格式。

立即体验