Suppr超能文献

模拟“SAFE”中的“F”:沙眼预防中的面部清洁动态博弈。

Modeling the "F" in "SAFE": The dynamic game of facial cleanliness in trachoma prevention.

机构信息

Department of Kinesiology and Health Sciences, Virginia Commonwealth University, Richmond, VA, United States of America.

Department of Biology, Virginia Commonwealth University, Richmond, VA, United States of America.

出版信息

PLoS One. 2023 Jun 23;18(6):e0287464. doi: 10.1371/journal.pone.0287464. eCollection 2023.

Abstract

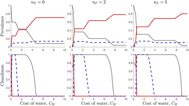
Trachoma, a neglected tropical disease (NTDs) caused by bacterium Chlamydia trachomatis, is a leading cause of infectious blindness. Efforts are underway to eliminate trachoma as a public health problem by using the "SAFE" strategy. While mathematical models are now standard tools used to support elimination efforts and there are a variety of models studying different aspects of trachoma transmission dynamics, the "F" component of the strategy corresponding to facial cleanliness has received very little attention so far. In this paper, we incorporate human behavior into a standard epidemiological model and develop a dynamical game during which individuals practice facial cleanliness based on their epidemiological status and perceived benefits and costs. We found that the number of infectious individuals generally increases with the difficulty to access a water source. However, this increase happens only during three transition periods and the prevalence stays constant otherwise. Consequently, improving access to water can help eliminate trachoma, but the improvement needs to be significant enough to cross at least one of the three transition thresholds; otherwise the improved access will have no noticeable effect.

摘要

沙眼是一种由细菌沙眼衣原体引起的被忽视的热带病(NTDs),是导致传染性失明的主要原因。目前正在通过使用“SAFE”策略来努力消除沙眼这一公共卫生问题。虽然数学模型现在是用于支持消除努力的标准工具,并且有各种模型研究沙眼传播动力学的不同方面,但迄今为止,该策略中对应面部清洁的“F”部分几乎没有得到关注。在本文中,我们将人类行为纳入标准的流行病学模型,并在个体根据其流行病学状况和感知到的收益和成本进行面部清洁的动态博弈中进行研究。我们发现,具有传染性的个体数量通常会随着获取水源难度的增加而增加。然而,这种增加仅在三个过渡时期发生,而在其他时期,流行率保持不变。因此,改善获得水的途径可以帮助消除沙眼,但这种改善需要足够显著,以至少跨越三个过渡阈值之一;否则,改善获得水的途径将不会产生明显的效果。

https://cdn.ncbi.nlm.nih.gov/pmc/blobs/7375/10289400/3f5126594333/pone.0287464.g001.jpg

文献AI研究员

20分钟写一篇综述,助力文献阅读效率提升50倍。

立即体验

用中文搜PubMed

大模型驱动的PubMed中文搜索引擎

马上搜索

文档翻译

学术文献翻译模型,支持多种主流文档格式。

立即体验