Suppr超能文献

衰老对血糖和体重正常的受试者的胰岛素抵抗、胰岛素分泌及葡萄糖有效性产生影响。

Aging Affects Insulin Resistance, Insulin Secretion, and Glucose Effectiveness in Subjects with Normal Blood Glucose and Body Weight.

作者信息

Huang Li-Ying, Liu Chi-Hao, Chen Fang-Yu, Kuo Chun-Heng, Pitrone Pietro, Liu Jhih-Syuan

机构信息

Division of Endocrinology and Metabolism, Department of Internal Medicine, Fu Jen Catholic University Hospital, New Taipei 24352, Taiwan.

Division of Nephrology, Department of Medicine, Kaohsiung Armed Forces General Hospital, Kaohsiung 80284, Taiwan.

出版信息

Diagnostics (Basel). 2023 Jun 24;13(13):2158. doi: 10.3390/diagnostics13132158.

Abstract

AIM

Several studies have demonstrated that factors including diabetes, including insulin resistance (IR), glucose effectiveness (GE), and the first and second phase of insulin secretion (FPIS, SPIS) could easily be calculated using basic characteristics and biochemistry profiles. Aging is accompanied by deteriorations of insulin resistance (IR) and insulin secretion. However, little is known about the roles of aging in the different phases of insulin secretion (ISEC), i.e., the first and second phase of insulin secretion (FPIS, SPIS), and glucose effectiveness (GE).

METHODS

In total, 169 individuals (43 men and 126 women) recruited from the data bank of the Meei-Jaw (MJ) Health Screening Center and Cardinal Tien Hospital Data Access Center between 1999 and 2008, with a similar fasting plasma glucose (FPG: 90 mg/dL) and BMI (men: 23 kg/m, women 22 kg/m) were enrolled. The IR, FPIS, SPIS, and GE were estimated using our previously developed equations shown below. Pearson correlation analysis was conducted to assess the correlations between age and four diabetes factors (DFs: IR, FPIS, SPIS, and GE). The equations that are used to calculate the DF in the present study were built and published by our group.

RESULTS

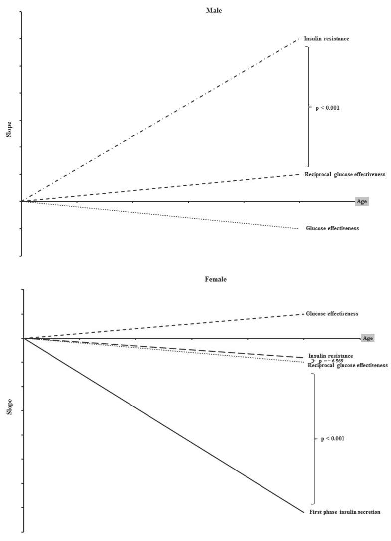
The age of the participants ranged from 18 to 78 years. Men had higher FPIS but lower HDL-C levels than women (2.067 ± 0.159, 1.950 ± 0.186 μU/min and 1.130 ± 0.306, 1.348 ± 0.357 mmol/dl, accordingly). The results of the Pearson correlation revealed that age was negatively related to the IR and GE in both genders (IR: r = -0.39, < 0.001 for men, r = -0.24, < 0.003 for women; GE: r = 0.66, < 0.001 for men, r = 0.78, < 0.001 for women). At the same time, the FPIS was also only found to be negatively correlated with age in females (r = -0.238, = 0.003), but there was no difference in the SPIS and age among both genders.

CONCLUSIONS

We have found that in Chinese subjects with a normal FPG level (90 mg/dL) and body mass index (men: 23 kg/m, women: 22: kg/m), age is negatively related to the IR and GE among both genders. Only the FPIS was found to be negatively related to age in women. The tightness of their relationships, from the highest to the lowest, are GE, FPIS, and IR. These results should be interpreted with caution because of the small sample size.

摘要

目的

多项研究表明,利用基本特征和生化指标可以轻松计算包括糖尿病在内的多种因素,如胰岛素抵抗(IR)、葡萄糖效能(GE)以及胰岛素分泌的第一和第二阶段(FPIS、SPIS)。衰老伴随着胰岛素抵抗(IR)和胰岛素分泌的恶化。然而,关于衰老在胰岛素分泌不同阶段(即胰岛素分泌的第一和第二阶段,FPIS、SPIS)以及葡萄糖效能(GE)中的作用,我们却知之甚少。

方法

1999年至2008年间,从美兆(MJ)健康检查中心数据库和耕莘医院数据访问中心招募了169名个体(43名男性和126名女性),这些个体的空腹血糖(FPG:90mg/dL)和体重指数(男性:23kg/m²,女性:22kg/m²)相近。使用我们之前开发的如下公式估算IR、FPIS、SPIS和GE。进行Pearson相关性分析以评估年龄与四个糖尿病因素(DFs:IR、FPIS、SPIS和GE)之间的相关性。本研究中用于计算DF的公式由我们团队构建并发表。

结果

参与者年龄在18至78岁之间。男性的FPIS高于女性,但HDL-C水平低于女性(分别为2.067±0.159、1.950±0.186μU/min和1.130±0.306、1.348± 0.357mmol/dl)。Pearson相关性分析结果显示,年龄与男女两性的IR和GE均呈负相关(IR:男性r = -0.39,P<0.001;女性r = -0.24,P<0.003;GE:男性r = 0.66,P<0.001;女性r = 0.78,P<0.001)。同时,仅发现女性的FPIS与年龄呈负相关(r = -0.238,P = 0.003),而两性之间的SPIS与年龄无差异。

结论

我们发现,在空腹血糖水平正常(90mg/dL)且体重指数正常(男性:23kg/m²,女性:22kg/m²)的中国受试者中,年龄与男女两性的IR和GE均呈负相关。仅在女性中发现FPIS与年龄呈负相关。它们之间关系的紧密程度从高到低依次为GE、FPIS和IR。由于样本量较小,这些结果应谨慎解读。

https://cdn.ncbi.nlm.nih.gov/pmc/blobs/f7ec/10341091/f8bb5bba9757/diagnostics-13-02158-g001.jpg

文献AI研究员

20分钟写一篇综述,助力文献阅读效率提升50倍。

立即体验

用中文搜PubMed

大模型驱动的PubMed中文搜索引擎

马上搜索

文档翻译

学术文献翻译模型,支持多种主流文档格式。

立即体验