Suppr超能文献

孤独症谱系障碍中的解整合素金属蛋白酶8(ADAM 8):与神经炎症的联系

A Disintegrin and Metalloproteinase Protein 8 (ADAM 8) in Autism Spectrum Disorder: Links to Neuroinflammation.

作者信息

Al-Ayadhi Laila, Abualnaja Amani, AlZarroug Abdullah, Alharbi Turki, Alhowikan Abdulrahman M, Halepoto Dost M, Al-Mazidi Sarah

机构信息

Autism Research and Treatment Centre, Faculty of Medicine, King Saud University, Riyadh, 11461, Saudi Arabia.

Department of Physiology, Faculty of Medicine, King Saud University, Riyadh, 11461, Saudi Arabia.

出版信息

Neuropsychiatr Dis Treat. 2023 Aug 14;19:1771-1780. doi: 10.2147/NDT.S408554. eCollection 2023.

Abstract

BACKGROUND

Converging lines of evidence confirmed neuroinflammation's role in autism spectrum disorder (ASD) etiological pathway. A disintegrin and metalloproteinase 8 (ADAM8) play major roles in inflammatory and allergic processes in various diseases.

AIM

This study aimed to investigate ADAM8 plasma levels in autistic children compared to healthy controls. Also, to discover the association between ADAM8, disease severity, and neuroinflammation in ASD.

METHODOLOGY

This case-control study included children with ASD (n=40) and aged-matched healthy controls (n=40). The plasma levels of the ADAM 8 were determined using enzyme-linked immunosorbent assay (ELISA). The assessment of ASD severity and social and sensory behaviors were categorized as mild, moderate and severe. Correlations among ADAM8 plasma levels and ASD severity scores [Childhood Autism Rating Scale (CARS), Social Responsiveness Scale (SRS) and Short Sensory Profile (SSP)] were obtained by Spearman correlation coefficient (r).

RESULTS

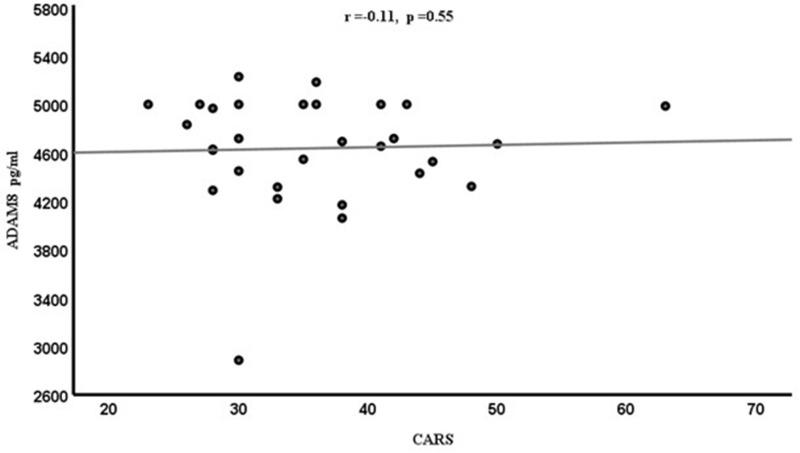
ASD children (n=40), including severe autism (n=21) and mild-to-moderate autism (n=19), showed significantly (p ≤ 0.05) lower plasma levels of ADAM8 [4683 (2885-5229); 4663 (4060-5000); 4632 (2885-5229)], respectively, than those of healthy controls [5000 (4047-5000)] [median (IQR) pg/mL]. However, there was no significant difference between the ADAM8 levels of children with severe and mild-to-moderate autism (p = 0.71). Moreover, ADAM8 plasma levels were not significantly correlated with the severity of ASD measured by behavioral scales [CARS (r= -0.11, p=0.55), SRS (r=0.11, p= 0.95), SSP (r=-0.23, p=0.23)].

CONCLUSION

The low ADAM8 plasma levels in children with ASD possibly indicated that ADAM8 might be implicated in the pathogenesis of ASD but not in the severity of the disease. These results should be interpreted with caution until additional studies are carried out with larger populations to decide whether the reduction in plasma ADAM8 levels is a mere consequence of ASD or if it plays a pathogenic role in the disease.

摘要

背景

越来越多的证据证实神经炎症在自闭症谱系障碍(ASD)病因学途径中发挥作用。解整合素和金属蛋白酶8(ADAM8)在多种疾病的炎症和过敏过程中起主要作用。

目的

本研究旨在调查自闭症儿童与健康对照相比的ADAM8血浆水平。此外,探索ADAM8、疾病严重程度和ASD中神经炎症之间的关联。

方法

本病例对照研究纳入了ASD儿童(n = 40)和年龄匹配的健康对照(n = 40)。使用酶联免疫吸附测定(ELISA)测定ADAM 8的血浆水平。将ASD严重程度以及社交和感觉行为的评估分为轻度、中度和重度。通过Spearman相关系数(r)获得ADAM8血浆水平与ASD严重程度评分[儿童自闭症评定量表(CARS)、社会反应量表(SRS)和简短感觉概况(SSP)]之间的相关性。

结果

ASD儿童(n = 40),包括重度自闭症(n = 21)和轻度至中度自闭症(n = 19),其ADAM8血浆水平[4683(2885 - 5229);4663(4060 - 5000);4632(2885 - 5229)]分别显著低于健康对照[5000(4047 - 5000)][中位数(IQR)pg/mL](p≤0.05)。然而,重度和轻度至中度自闭症儿童的ADAM8水平之间没有显著差异(p = 0.71)。此外,ADAM8血浆水平与行为量表测量的ASD严重程度[CARS(r = -0.11,p = 0.55),SRS(r = 0.11,p = 0.95),SSP(r = -0.23,p = 0.23)]无显著相关性。

结论

ASD儿童中ADAM8血浆水平较低可能表明ADAM8可能与ASD的发病机制有关,但与疾病严重程度无关。在进行更多大规模研究以确定血浆ADAM8水平降低仅仅是ASD的结果还是在疾病中起致病作用之前,应谨慎解释这些结果。

https://cdn.ncbi.nlm.nih.gov/pmc/blobs/8570/10438429/53cffa2f58a7/NDT-19-1771-g0001.jpg

文献AI研究员

20分钟写一篇综述,助力文献阅读效率提升50倍。

立即体验

用中文搜PubMed

大模型驱动的PubMed中文搜索引擎

马上搜索

文档翻译

学术文献翻译模型,支持多种主流文档格式。

立即体验