Suppr超能文献

通过退火热处理定制与 SEBS-g-MA 相容的 PLA/ABS 共混物。

Tailoring PLA/ABS Blends Compatibilized with SEBS-g-MA through Annealing Heat Treatment.

作者信息

Costa Anna Raffaela de Matos, Luna Carlos Bruno Barreto, do Nascimento Emanuel Pereira, Ferreira Eduardo da Silva Barbosa, Costa Claudia de Matos, de Almeida Yeda Medeiros Bastos, Araújo Edcleide Maria

机构信息

Academic Unit of Materials Engineering, Polymer Processing Laboratory, Federal University of Campina Grande, Av. Aprígio Veloso, 882, Bodocongó, Campina Grande 58429-900, PB, Brazil.

Academic Unit of Mechanical Engineering, Federal University of Campina Grande, Av. Aprígio Veloso, 882, Bodocongó, Campina Grande 58429-900, PB, Brazil.

出版信息

Polymers (Basel). 2023 Aug 17;15(16):3434. doi: 10.3390/polym15163434.

Abstract

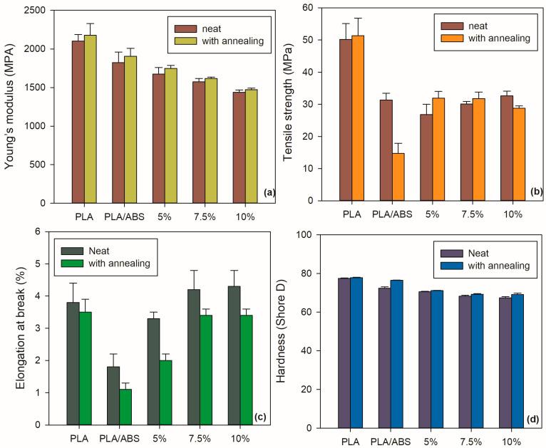
In this work, blends based on poly (lactic acid) (PLA)/acrylonitrile-butadiene-styrene (ABS) compatibilized with maleic anhydride-grafted (SEBS-g-MA) were prepared in a co-rotational twin-screw extruder by varying the concentrations of the compatibilizing agent. The influence of the compatibilizing agent on the morphology, mechanical, thermal, thermomechanical, and rheological properties of the prepared materials was analyzed. The effect of annealing on the properties of the blends was also investigated using injection-molded samples. The X-ray diffraction (XRD) results proved that the increments in crystallinity were an effect of annealing in the PLA/ABS/SEBS-g-MA blends, resonating at higher heat deflection temperatures (HDTs). The impact strength of the PLA/ABS blends compatibilized with 10 wt% SEBS-g-MA was significantly increased when compared to the PLA/ABS blends. However, the hardness and elastic modulus of the blends decreased when compared to neat PLA. The refined morphology shown in the scanning electron microscopy (SEM) analyses corroborated the improved impact strength promoted by SEBS-g-MA. The torque rheometer degradation study also supported the increased compatibility between SEBS-g-MA, PLA, and ABS. The TGA results show that the PLA/ABS and PLA/ABS/SEBS-g-MA blends are more thermally stable than the neat PLA polymer at higher temperatures. The results showed that the ideal composition is the heat-treated PLA/ABS/SEBS-g-MA (60/30/10 wt%), given the high impact strength and HDT results. The results of this work in terms of mechanical improvement with the use of compatibilizers and annealing suggest that the PLA/ABS/SEBS-g-MA system can be used in the production of 3D-printing filaments.

摘要

在本研究中,通过改变相容剂的浓度,在同向旋转双螺杆挤出机中制备了基于聚乳酸(PLA)/丙烯腈-丁二烯-苯乙烯(ABS)并与马来酸酐接枝(SEBS-g-MA)相容化的共混物。分析了相容剂对所制备材料的形态、力学、热学、热机械和流变性能的影响。还使用注塑样品研究了退火对共混物性能的影响。X射线衍射(XRD)结果证明,结晶度的增加是PLA/ABS/SEBS-g-MA共混物退火的结果,在较高的热变形温度(HDT)下表现出共振。与PLA/ABS共混物相比,用10 wt% SEBS-g-MA相容化的PLA/ABS共混物的冲击强度显著提高。然而,与纯PLA相比,共混物的硬度和弹性模量有所降低。扫描电子显微镜(SEM)分析显示的细化形态证实了SEBS-g-MA促进了冲击强度的提高。转矩流变仪降解研究也支持了SEBS-g-MA、PLA和ABS之间相容性的提高。热重分析(TGA)结果表明,在较高温度下,PLA/ABS和PLA/ABS/SEBS-g-MA共混物比纯PLA聚合物具有更高的热稳定性。结果表明,考虑到高冲击强度和HDT结果,理想的组成是热处理后的PLA/ABS/SEBS-g-MA(60/30/10 wt%)。这项工作在使用相容剂和退火进行机械性能改进方面的结果表明,PLA/ABS/SEBS-g-MA体系可用于3D打印长丝的生产。

https://cdn.ncbi.nlm.nih.gov/pmc/blobs/1178/10460045/78cb04f131be/polymers-15-03434-g001.jpg

文献AI研究员

20分钟写一篇综述,助力文献阅读效率提升50倍。

立即体验

用中文搜PubMed

大模型驱动的PubMed中文搜索引擎

马上搜索

文档翻译

学术文献翻译模型,支持多种主流文档格式。

立即体验