Suppr超能文献

英国生物银行中血液嗜酸性粒细胞计数与哮喘的共享遗传结构

Shared genetic architecture of blood eosinophil counts and asthma in UK Biobank.

作者信息

Li Boyang, Wang Yuxuan, Wang Zixiao, Li Xinyue, Kay Shannon, Chupp Geoffrey L, Zhao Hongyu, Gomez Jose L

机构信息

Department of Biostatistics, Yale School of Public Health, New Haven, CT, USA.

These authors contributed equally to this work.

出版信息

ERJ Open Res. 2023 Aug 29;9(4). doi: 10.1183/23120541.00291-2023. eCollection 2023 Jul.

Abstract

RATIONALE

Asthma is a complex, heterogeneous disease strongly associated with type 2 inflammation, and blood eosinophil counts guide therapeutic interventions in moderate and severe asthma. Eosinophils are leukocytes involved in type 2 immune responses. Despite these critical associations between asthma and blood eosinophil counts, the shared genetic architecture of these two traits remains unknown. The objective of the present study was to characterise the genetic architecture of blood eosinophil counts and asthma in the UK Biobank.

METHODS

We performed genome-wide association studies (GWAS) of doctor-diagnosed asthma, blood eosinophil, neutrophil, lymphocyte and monocyte counts in the UK Biobank. Genetic correlation analysis was performed on GWAS results and validated in the Trans-National Asthma Genetic Consortium (TAGC) study of asthma.

RESULTS

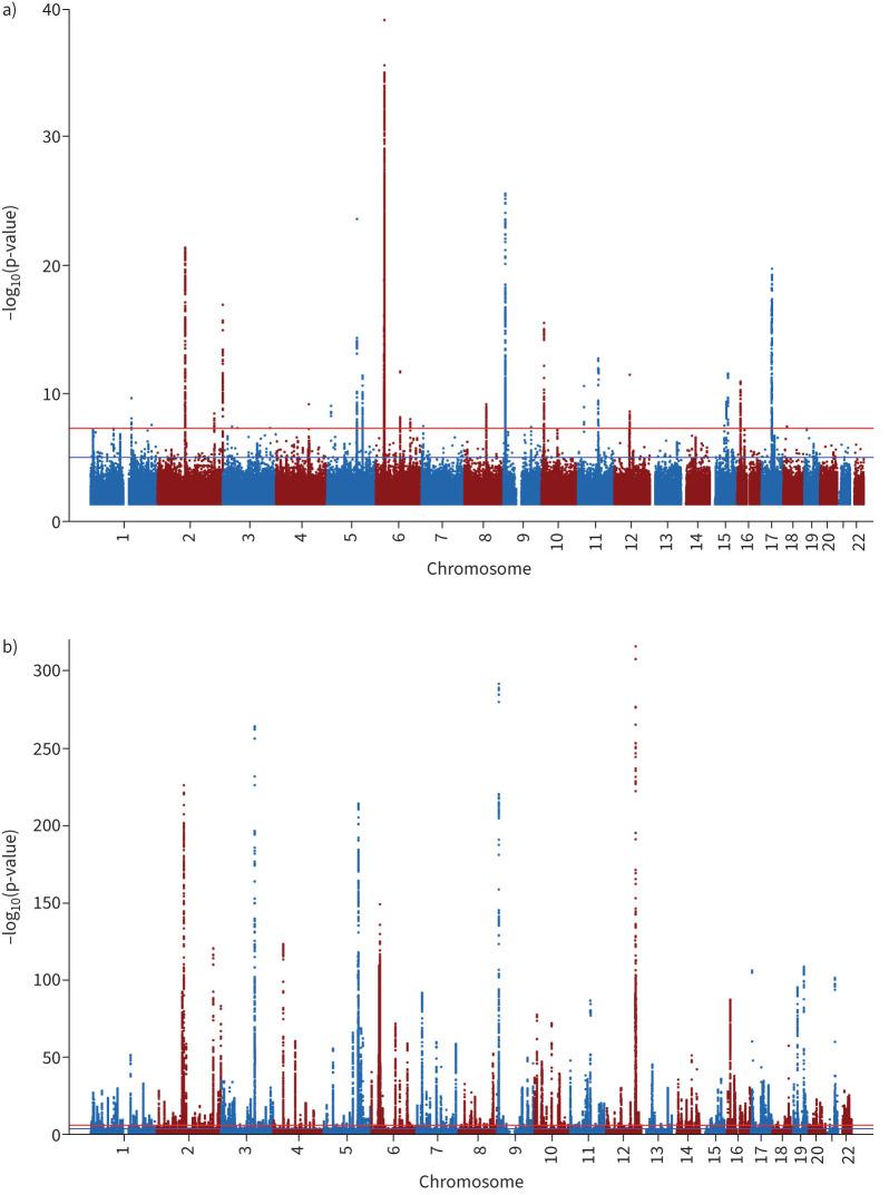
GWAS of doctor-diagnosed asthma and blood eosinophil counts in the UK Biobank identified 585 and 3429 significant variants, respectively. , a transcription factor involved in interleukin-4 signalling, was a key shared pathway between asthma and blood eosinophil counts. Genetic correlation analysis demonstrated a positive correlation between doctor-diagnosed asthma and blood eosinophil counts (r=0.38±0.10, correlation±se; p=4.7×10). As a validation of this association, we found a similar correlation between TAGC and blood eosinophil counts in the UK Biobank (0.37±0.08, correlation±se; p=1.2×10).

CONCLUSIONS

These findings define the shared genetic architecture between blood eosinophil counts and asthma risk in subjects of European ancestry and point to a genetic link to the signalling pathway in these two traits.

摘要

理论依据

哮喘是一种复杂的异质性疾病,与2型炎症密切相关,血液嗜酸性粒细胞计数可指导中度和重度哮喘的治疗干预。嗜酸性粒细胞是参与2型免疫反应的白细胞。尽管哮喘与血液嗜酸性粒细胞计数之间存在这些关键关联,但这两个特征的共同遗传结构仍不清楚。本研究的目的是在英国生物银行中描述血液嗜酸性粒细胞计数和哮喘的遗传结构。

方法

我们在英国生物银行中对医生诊断的哮喘、血液嗜酸性粒细胞、中性粒细胞、淋巴细胞和单核细胞计数进行了全基因组关联研究(GWAS)。对GWAS结果进行遗传相关性分析,并在跨国哮喘遗传联盟(TAGC)的哮喘研究中进行验证。

结果

在英国生物银行中,对医生诊断的哮喘和血液嗜酸性粒细胞计数进行GWAS分别鉴定出585个和3429个显著变异。 ,一种参与白细胞介素-4信号传导的转录因子,是哮喘和血液嗜酸性粒细胞计数之间的关键共同途径。遗传相关性分析表明,医生诊断的哮喘与血液嗜酸性粒细胞计数之间呈正相关(r=0.38±0.10,相关性±标准误;p=4.7×10)。作为这种关联的验证,我们在TAGC和英国生物银行中的血液嗜酸性粒细胞计数之间发现了类似的相关性(0.37±0.08,相关性±标准误;p=1.2×10)。

结论

这些发现定义了欧洲血统受试者血液嗜酸性粒细胞计数与哮喘风险之间的共同遗传结构,并指出这两个特征与 信号通路的遗传联系。

https://cdn.ncbi.nlm.nih.gov/pmc/blobs/2035/10463033/4c3e2e3a43d1/00291-2023.01.jpg

文献AI研究员

20分钟写一篇综述,助力文献阅读效率提升50倍。

立即体验

用中文搜PubMed

大模型驱动的PubMed中文搜索引擎

马上搜索

文档翻译

学术文献翻译模型,支持多种主流文档格式。

立即体验