Suppr超能文献

在中国相对较瘦的成年人中,肥胖与 1463 种蛋白质的常规和遗传关联。

Conventional and genetic associations of adiposity with 1463 proteins in relatively lean Chinese adults.

机构信息

Clinical Trial Service Unit, Nuffield Department of Population Health, University of Oxford, Old Road Campus, Roosevelt Drive, Oxford, OX3 7LF, UK.

Medical Research Council Health Research Unit, Nuffield Department of Population Health, University of Oxford, Oxford, UK.

出版信息

Eur J Epidemiol. 2023 Oct;38(10):1089-1103. doi: 10.1007/s10654-023-01038-9. Epub 2023 Sep 7.

Abstract

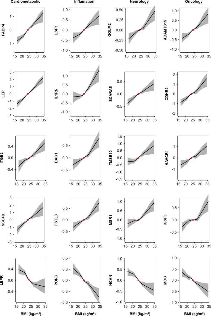
Adiposity is associated with multiple diseases and traits, but little is known about the causal relevance and mechanisms underlying these associations. Large-scale proteomic profiling, especially when integrated with genetic data, can clarify mechanisms linking adiposity with disease outcomes. We examined the associations of adiposity with plasma levels of 1463 proteins in 3977 Chinese adults, using measured and genetically-instrumented BMI. We further used two-sample bi-directional MR analyses to assess if certain proteins influenced adiposity, along with other (e.g. enrichment) analyses to clarify possible mechanisms underlying the observed associations. Overall, the mean (SD) baseline BMI was 23.9 (3.3) kg/m, with only 6% being obese (i.e. BMI ≥ 30 kg/m). Measured and genetically-instrumented BMI was significantly associated at FDR < 0.05 with levels of 1096 (positive/inverse: 826/270) and 307 (positive/inverse: 270/37) proteins, respectively, with FABP4, LEP, IL1RN, LSP1, GOLM2, TNFRSF6B, and ADAMTS15 showing the strongest positive and PON3, NCAN, LEPR, IGFBP2 and MOG showing the strongest inverse genetic associations. These associations were largely linear, in adiposity-to-protein direction, and replicated (> 90%) in Europeans of UKB (mean BMI 27.4 kg/m). Enrichment analyses of the top > 50 BMI-associated proteins demonstrated their involvement in atherosclerosis, lipid metabolism, tumour progression and inflammation. Two-sample bi-directional MR analyses using cis-pQTLs identified in CKB GWAS found eight proteins (ITIH3, LRP11, SCAMP3, NUDT5, OGN, EFEMP1, TXNDC15, PRDX6) significantly affect levels of BMI, with NUDT5 also showing bi-directional association. The findings among relatively lean Chinese adults identified novel pathways by which adiposity may increase disease risks and novel potential targets for treatment of obesity and obesity-related diseases.

摘要

肥胖与多种疾病和特征有关,但对于这些关联的因果关系和机制知之甚少。大规模的蛋白质组学分析,特别是与遗传数据相结合时,可以阐明将肥胖与疾病结果联系起来的机制。我们使用测量和遗传工具化的 BMI,在 3977 名中国成年人中检查了肥胖与 1463 种血浆蛋白水平之间的关联。我们还使用两样本双向 MR 分析来评估某些蛋白质是否会影响肥胖,以及其他(例如富集)分析来阐明观察到的关联背后的可能机制。总体而言,平均(SD)基线 BMI 为 23.9(3.3)kg/m,只有 6%的人肥胖(即 BMI≥30 kg/m)。测量和遗传工具化的 BMI 与 1096 种(正/负:826/270)和 307 种(正/负:270/37)蛋白水平显著相关,FABP4、LEP、IL1RN、LSP1、GOLM2、TNFRSF6B 和 ADAMTS15 表现出最强的正相关,PON3、NCAN、LEPR、IGFBP2 和 MOG 表现出最强的负遗传相关性。这些关联在肥胖到蛋白质的方向上基本是线性的,并且在 UKB 的欧洲人中得到了复制(平均 BMI 为 27.4 kg/m)。对前>50 种与 BMI 相关的蛋白质进行富集分析表明,它们参与了动脉粥样硬化、脂质代谢、肿瘤进展和炎症。使用 CKB GWAS 中发现的顺式-pQTLs 进行的两样本双向 MR 分析确定了 8 种蛋白质(ITIH3、LRP11、SCAMP3、NUDT5、OGN、EFEMP1、TXNDC15、PRDX6)显著影响 BMI 水平,NUDT5 也表现出双向关联。在相对较瘦的中国成年人中发现的新途径表明,肥胖可能会增加疾病风险,为肥胖和肥胖相关疾病的治疗提供了新的潜在靶点。

https://cdn.ncbi.nlm.nih.gov/pmc/blobs/5a02/10570181/db151ad62db1/10654_2023_1038_Fig1_HTML.jpg

文献AI研究员

20分钟写一篇综述,助力文献阅读效率提升50倍。

立即体验

用中文搜PubMed

大模型驱动的PubMed中文搜索引擎

马上搜索

文档翻译

学术文献翻译模型,支持多种主流文档格式。

立即体验