Suppr超能文献

基于轻量化多类支持向量机的隐私保护医学诊断系统。

Lightweight Multi-Class Support Vector Machine-Based Medical Diagnosis System with Privacy Preservation.

机构信息

Department of Computer Science and Information Systems, Bradley University, Peoria, IL 61625, USA.

Department of Computer Science, College of Charleston, Charleston, SC 29424, USA.

出版信息

Sensors (Basel). 2023 Nov 8;23(22):9033. doi: 10.3390/s23229033.

Abstract

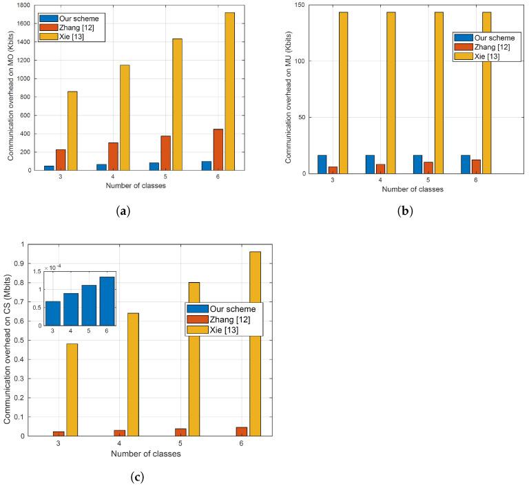
Machine learning, powered by cloud servers, has found application in medical diagnosis, enhancing the capabilities of smart healthcare services. Research literature demonstrates that the support vector machine (SVM) consistently demonstrates remarkable accuracy in medical diagnosis. Nonetheless, safeguarding patients' health data privacy and preserving the intellectual property of diagnosis models is of paramount importance. This concern arises from the common practice of outsourcing these models to third-party cloud servers that may not be entirely trustworthy. Few studies in the literature have delved into addressing these issues within SVM-based diagnosis systems. These studies, however, typically demand substantial communication and computational resources and may fail to conceal classification results and protect model intellectual property. This paper aims to tackle these limitations within a multi-class SVM medical diagnosis system. To achieve this, we have introduced modifications to an inner product encryption cryptosystem and incorporated it into our medical diagnosis framework. Notably, our cryptosystem proves to be more efficient than the Paillier and multi-party computation cryptography methods employed in previous research. Although we focus on a medical application in this paper, our approach can also be used for other applications that need the evaluation of machine learning models in a privacy-preserving way such as electricity theft detection in the smart grid, electric vehicle charging coordination, and vehicular social networks. To assess the performance and security of our approach, we conducted comprehensive analyses and experiments. Our findings demonstrate that our proposed method successfully fulfills our security and privacy objectives while maintaining high classification accuracy and minimizing communication and computational overhead.

摘要

机器学习在云服务器的支持下,已经在医疗诊断中得到了应用,增强了智能医疗服务的能力。研究文献表明,支持向量机(SVM)在医疗诊断中始终表现出显著的准确性。然而,保护患者健康数据隐私和保护诊断模型的知识产权至关重要。这是因为将这些模型外包给第三方云服务器可能并不完全可信,这在文献中是常见的做法。文献中很少有研究深入探讨基于 SVM 的诊断系统中存在的这些问题。然而,这些研究通常需要大量的通信和计算资源,并且可能无法隐藏分类结果和保护模型知识产权。本文旨在解决多类 SVM 医疗诊断系统中的这些限制。为此,我们对内积加密密码系统进行了修改,并将其纳入我们的医疗诊断框架中。值得注意的是,我们的密码系统比之前研究中使用的 Paillier 和多方计算密码学方法更有效。虽然我们在本文中专注于医疗应用,但我们的方法也可以用于其他需要以隐私保护方式评估机器学习模型的应用,例如智能电网中的窃电检测、电动汽车充电协调和车辆社交网络。为了评估我们方法的性能和安全性,我们进行了全面的分析和实验。我们的发现表明,我们提出的方法成功地实现了我们的安全和隐私目标,同时保持了高分类准确性和最小化通信和计算开销。

https://cdn.ncbi.nlm.nih.gov/pmc/blobs/530e/10674529/896a084044d8/sensors-23-09033-g001.jpg

文献AI研究员

20分钟写一篇综述,助力文献阅读效率提升50倍。

立即体验

用中文搜PubMed

大模型驱动的PubMed中文搜索引擎

马上搜索

文档翻译

学术文献翻译模型,支持多种主流文档格式。

立即体验