Suppr超能文献

对中国杜氏肌营养不良症患者进行的一项自然史研究的1年分析。

A 1-year analysis from a natural history study in Chinese individuals with Duchenne muscular dystrophy.

作者信息

Li Xihua, Lv Junlan, Zhu Wenhua, Hong Siqi, Wang Zhiqiang, Chang Xingzhi, Gao Ying Xu, Zhou Yangmei, Jia Caiping, Fang Jia, Patterson Terrell A

机构信息

Children's Hospital of Fudan University, Fudan, China.

Department of Neurology, Beijing Children's Hospital, Capital Medical University, National Center for Children's Health, Beijing, China.

出版信息

Lancet Reg Health West Pac. 2023 Nov 28;42:100944. doi: 10.1016/j.lanwpc.2023.100944. eCollection 2024 Jan.

Abstract

BACKGROUND

Duchenne muscular dystrophy (DMD) is a disabling and life-threatening, X-linked recessive disorder caused by mutations in dystrophin. Natural history studies can inform the disease characteristics of DMD, and data from these studies can be used to plan and design clinical trials and as external controls for long-term studies. We report 12-month results from the largest natural history study of individuals with DMD in China receiving standard of care treatment.

METHODS

This ongoing, multicentre, prospective, single-cohort study (ClinicalTrials.gov: NCT03760029) was conducted in Chinese male participants with DMD (ambulatory aged <6 years [Group 1; n = 99]; ambulatory aged ≥6 years [Group 2; n = 177], and non-ambulatory of any age [Group 3; n = 36]. The follow-up period is ≥24 months, with some participants followed for 30 months. The primary endpoint was time to clinical milestones due to DMD disease progression, and motor, pulmonary, and cardiac function. Secondary endpoints were quality of life (QoL) assessments.

FINDINGS

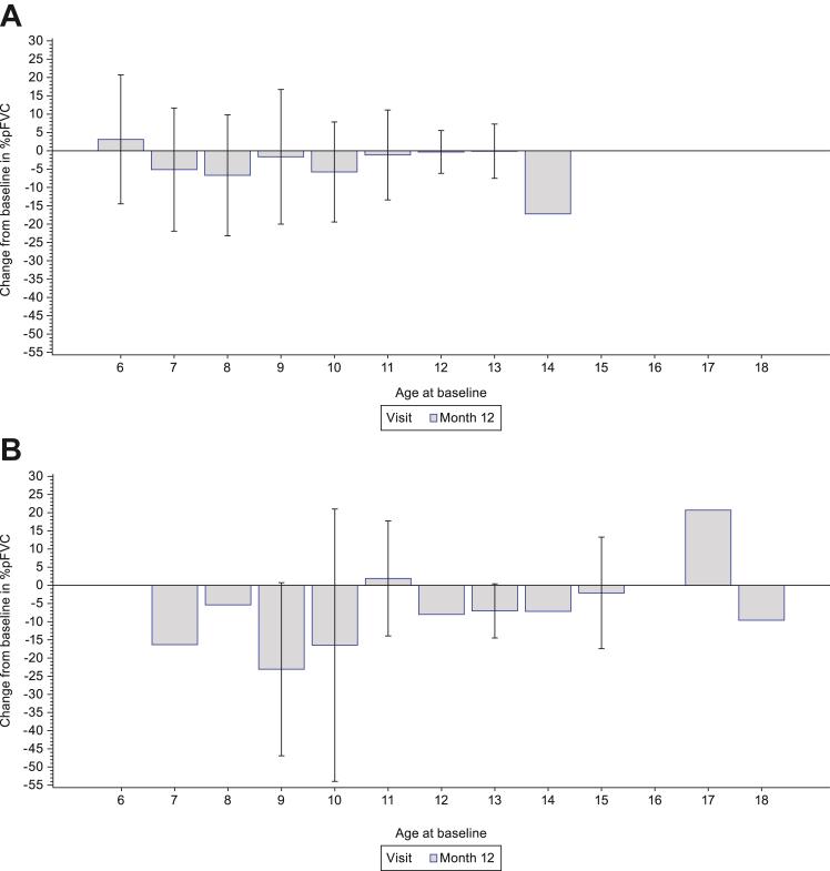
Mean (standard deviation [SD]) age at screening was 3.4 (1.2), 8.6 (2.0), 12.3 (2.7) and 7.4 (3.5) years in Groups 1, 2, 3 and total respectively. Mean (SD) North Star Ambulatory Assessment (NSAA) total score at baseline was 21.2 (5.8) in Group 1, 19.5 (8.3) in Group 2 and 20.0 (7.7) in ambulatory total. Overall, the time to clinical milestones due to DMD disease progression was consistent with previous findings, in which loss of ambulation occurred at 13 years. There was a trend towards a decline over 12 months in NSAA and timed motor function from age 6 years, with the greatest reductions observed thereafter. There were no consistent trends in measures of QoL, although participants of any age generally had poorer outcomes at Month 12 versus their domain scores at baseline.

INTERPRETATION

This study improves the understanding of DMD progression according to the current standards of care in the Chinese DMD population and may inform selected endpoints and patient populations in clinical trials.

FUNDING

Pfizer Inc.

摘要

背景

杜氏肌营养不良症(DMD)是一种致残且危及生命的X连锁隐性疾病,由肌营养不良蛋白突变引起。自然史研究可以揭示DMD的疾病特征,这些研究的数据可用于规划和设计临床试验,并作为长期研究的外部对照。我们报告了中国接受标准治疗的DMD患者最大规模自然史研究的12个月结果。

方法

这项正在进行的多中心、前瞻性、单队列研究(ClinicalTrials.gov:NCT03760029)在中国男性DMD患者中开展(能独立行走且年龄<6岁[第1组;n = 99];能独立行走且年龄≥6岁[第2组;n = 177];任何年龄均不能独立行走[第3组;n = 36])。随访期≥24个月,部分参与者随访了30个月。主要终点是因DMD疾病进展导致达到临床里程碑的时间,以及运动、肺和心脏功能。次要终点是生活质量(QoL)评估。

结果

第1组、第2组、第3组和总体的筛查时平均(标准差[SD])年龄分别为3.4(1.2)岁、8.6(2.0)岁、12.3(2.7)岁和7.4(3.5)岁。第1组基线时北星步态评估(NSAA)总分平均(SD)为21.2(5.8),第2组为19.5(8.3),能独立行走者总体为20.0(7.7)。总体而言,因DMD疾病进展导致达到临床里程碑的时间与先前研究结果一致,即13岁时丧失独立行走能力。6岁起,NSAA和定时运动功能在12个月内有下降趋势,此后下降最为明显。生活质量测量指标没有一致的趋势,不过任何年龄的参与者在第12个月时的总体结果通常比基线时的领域得分更差。

解读

本研究增进了对中国DMD患者群体按照当前治疗标准疾病进展情况的了解,并可能为临床试验中的特定终点和患者群体提供参考。

资助

辉瑞公司

https://cdn.ncbi.nlm.nih.gov/pmc/blobs/cdd0/10711157/1b9ba40163d9/gr1.jpg

文献AI研究员

20分钟写一篇综述,助力文献阅读效率提升50倍。

立即体验

用中文搜PubMed

大模型驱动的PubMed中文搜索引擎

马上搜索

文档翻译

学术文献翻译模型,支持多种主流文档格式。

立即体验