Suppr超能文献

新冠病毒快速抗原检测阳性样本中的RNA用于全病毒基因组测序和变异株鉴定以维持基因组监测的适用性

The Suitability of RNA from Positive SARS-CoV-2 Rapid Antigen Tests for Whole Virus Genome Sequencing and Variant Identification to Maintain Genomic Surveillance.

作者信息

Cucina Annamaria, Contino Flavia, Brunacci Giuseppina, Orlando Valentina, La Rocca Mario, Indelicato Sergio, Di Gaudio Francesca

机构信息

Azienda Ospedaliera Ospedali Riuniti Villa Sofia-Cervello, Chromatography and Mass Spectrometry Section, Quality Control and Chemical Risk (CQRC), Via del Vespro, 133, 90127 Palermo, Italy.

Regional Health Department, Department of Strategic Planning, Piazza Ottavio Ziino, 24, 90145 Palermo, Italy.

出版信息

Diagnostics (Basel). 2023 Dec 7;13(24):3618. doi: 10.3390/diagnostics13243618.

Abstract

UNLABELLED

The COVID-19 pandemic has transformed laboratory management, with a surge in demand for diagnostic tests prompting the adoption of new diagnostic assays and the spread of variant surveillance tools. Rapid antigen tests (RATs) were initially used only for screening and later as suitable infection assessment tools. This study explores the feasibility of sequencing the SARS-CoV-2 genome from the residue of the nasopharyngeal swab extraction buffers of rapid antigen tests (RATs) to identify different COVID-19 lineages and sub-lineages.

METHODS

Viral RNA was extracted from the residue of the nasopharyngeal swab extraction buffers of RATs and, after a confirmation of positivity through a reaction of RT-PCR, viral genome sequencing was performed.

RESULTS

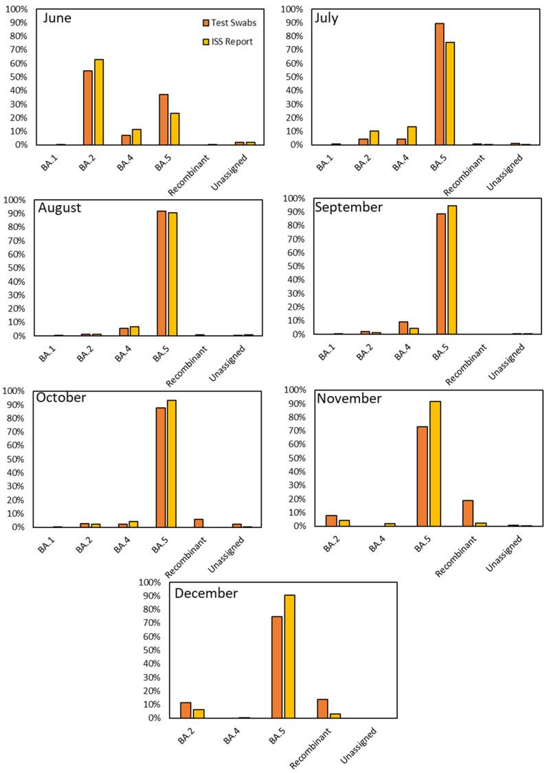
Overall, the quality of the sequences obtained from the RNA extracted from the residue of the nasopharyngeal swab extraction buffers of RATs was adequate and allowed us to identify the SARS-CoV-2 variants' circulation and distribution in a period when the use of molecular swabs had been drastically reduced.

CONCLUSIONS

This study demonstrates the potential for genomic surveillance by sequencing SARS-CoV-2 from the residue of the nasopharyngeal swab extraction buffers of RATs, highlighting alternative possibilities for tracking variants.

摘要

未标注

新冠疫情改变了实验室管理,诊断检测需求激增促使采用新的诊断方法并推广变异株监测工具。快速抗原检测(RATs)最初仅用于筛查,后来成为合适的感染评估工具。本研究探讨了从快速抗原检测(RATs)的鼻咽拭子提取缓冲液残渣中对严重急性呼吸综合征冠状病毒2(SARS-CoV-2)基因组进行测序以识别不同新冠病毒谱系和亚谱系的可行性。

方法

从快速抗原检测(RATs)的鼻咽拭子提取缓冲液残渣中提取病毒RNA,通过逆转录聚合酶链反应(RT-PCR)反应确认阳性后,进行病毒基因组测序。

结果

总体而言,从快速抗原检测(RATs)的鼻咽拭子提取缓冲液残渣中提取的RNA所获得的序列质量足够,使我们能够在分子拭子使用大幅减少的时期识别SARS-CoV-2变异株的传播和分布。

结论

本研究证明了通过对快速抗原检测(RATs)的鼻咽拭子提取缓冲液残渣中的SARS-CoV-2进行测序进行基因组监测具有潜力,突出了追踪变异株的其他可能性。

https://cdn.ncbi.nlm.nih.gov/pmc/blobs/2ee6/10742923/7a2f378c600a/diagnostics-13-03618-g001.jpg

文献AI研究员

20分钟写一篇综述,助力文献阅读效率提升50倍。

立即体验

用中文搜PubMed

大模型驱动的PubMed中文搜索引擎

马上搜索

文档翻译

学术文献翻译模型,支持多种主流文档格式。

立即体验