Suppr超能文献

一种使用机器学习和可解释人工智能的骨质疏松症风险预测决策支持系统。

A decision support system for osteoporosis risk prediction using machine learning and explainable artificial intelligence.

作者信息

Khanna Varada Vivek, Chadaga Krishnaraj, Sampathila Niranjana, Chadaga Rajagopala, Prabhu Srikanth, K S Swathi, Jagdale Aditya S, Bhat Devadas

机构信息

Department of Biomedical Engineering, Manipal Institute of Technology, Manipal Academy of Higher Education, India.

Department of Computer Science and Engineering, Manipal Institute of Technology, Manipal Academy of Higher Education, India.

出版信息

Heliyon. 2023 Dec 2;9(12):e22456. doi: 10.1016/j.heliyon.2023.e22456. eCollection 2023 Dec.

Abstract

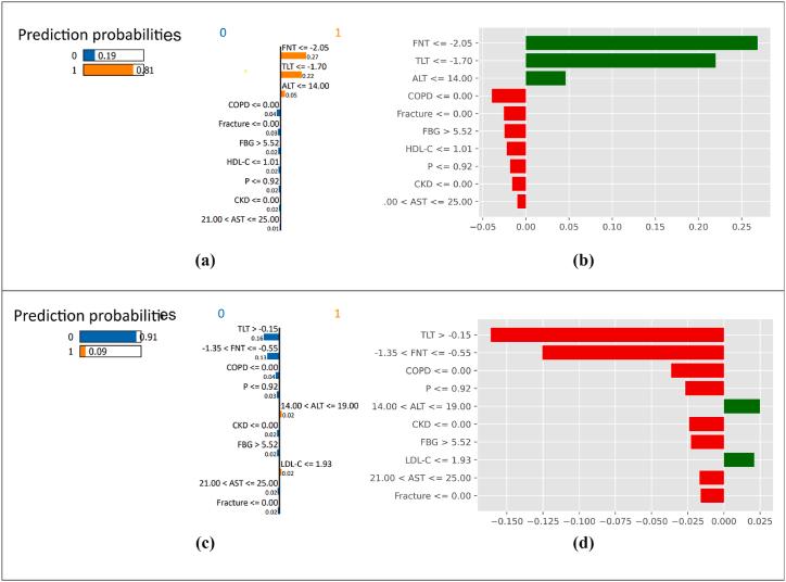
Osteoporosis is a metabolic bone condition that occurs when bone mineral density and mass decrease. This makes the bones weak and brittle. The disorder is often undiagnosed and untreated due to its asymptomatic nature until the manifestation of a fracture. Machine Learning (ML) is extensively used in diverse healthcare domains to analyze precise outcomes, provide timely risk scores, and allocate resources. Hence, we have designed multiple heterogeneous machine-learning frameworks to predict the risk of Osteoporosis. An open-source dataset of 1493 patients containing bone density, blood, and physical tests is utilized. Thirteen distinct feature selection techniques were leveraged to extract the most salient parameters. The best-performing pipeline consisted of a Forward Feature Selection algorithm followed by a custom multi-level ensemble learning-based stack, which achieved an accuracy of 89 %. Deploying a layer of explainable artificial intelligence using tools such as SHAP (SHapley Additive Values), LIME (Local Interpretable Model Explainer), ELI5, Qlattice, and feature importance provided interpretability and rationale behind classifier prediction. With this study, we aim to provide the holistic risk prediction of Osteoporosis and concurrently present a system for automated screening to assist physicians in making diagnostic decisions.

摘要

骨质疏松症是一种代谢性骨病,当骨矿物质密度和骨量降低时就会发生。这会使骨骼变得脆弱易碎。由于其无症状的特性,这种疾病在骨折出现之前往往未被诊断和治疗。机器学习(ML)在不同的医疗领域被广泛应用,以分析精确的结果、提供及时的风险评分并分配资源。因此,我们设计了多个异构机器学习框架来预测骨质疏松症的风险。我们使用了一个包含1493名患者的骨密度、血液和身体检查的开源数据集。利用了13种不同的特征选择技术来提取最显著的参数。表现最佳的管道由前向特征选择算法和基于自定义多级集成学习的堆栈组成,其准确率达到了89%。使用SHAP(Shapley值)、LIME(局部可解释模型解释器)、ELI5、Qlattice等工具部署一层可解释的人工智能,并结合特征重要性,为分类器预测提供了解释性和基本原理。通过这项研究,我们旨在提供骨质疏松症的整体风险预测,并同时展示一个自动筛查系统,以协助医生做出诊断决策。

https://cdn.ncbi.nlm.nih.gov/pmc/blobs/3729/10746430/bdf471df53e6/gr1.jpg

文献AI研究员

20分钟写一篇综述,助力文献阅读效率提升50倍。

立即体验

用中文搜PubMed

大模型驱动的PubMed中文搜索引擎

马上搜索

文档翻译

学术文献翻译模型,支持多种主流文档格式。

立即体验