Suppr超能文献

采用放射组学对一线免疫治疗的 NSCLC 患者生存结局进行多机构预后建模。

Multi-institutional prognostic modeling of survival outcomes in NSCLC patients treated with first-line immunotherapy using radiomics.

机构信息

Department of Mathematics and Computer Science, Université du Québec à Trois Rivières, Trois-Rivières, Canada.

Centre de Recherche du CHU de Québec, Université Laval, Québec, QC, Canada.

出版信息

J Transl Med. 2024 Jan 10;22(1):42. doi: 10.1186/s12967-024-04854-z.

Abstract

BACKGROUND

Immune checkpoint inhibitors (ICIs) have emerged as one of the most promising first-line therapeutics in the management of non-small cell lung cancer (NSCLC). However, only a subset of these patients responds to ICIs, highlighting the clinical need to develop better predictive and prognostic biomarkers. This study will leverage pre-treatment imaging profiles to develop survival risk models for NSCLC patients treated with first-line immunotherapy.

METHODS

Advanced NSCLC patients (n = 149) were retrospectively identified from two institutions who were treated with first-line ICIs. Radiomics features extracted from pretreatment imaging scans were used to build the predictive models for progression-free survival (PFS) and overall survival (OS). A compendium of five feature selection methods and seven machine learning approaches were utilized to build the survival risk models. The concordance index (C-index) was used to evaluate model performance.

RESULTS

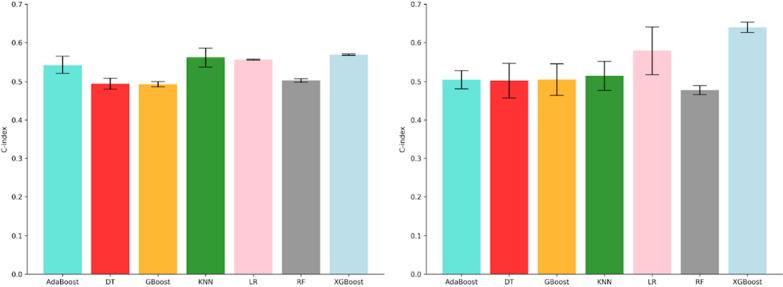
From our results, we found several combinations of machine learning algorithms and feature selection methods to achieve similar performance. K-nearest neighbourhood (KNN) with ReliefF (RL) feature selection was the best-performing model to predict PFS (C-index = 0.61 and 0.604 in discovery and validation cohorts), while XGBoost with Mutual Information (MI) feature selection was the best-performing model for OS (C-index = 0.7 and 0.655 in discovery and validation cohorts).

CONCLUSION

The results of this study highlight the importance of implementing an appropriate feature selection method coupled with a machine learning strategy to develop robust survival models. With further validation of these models on external cohorts when available, this can have the potential to improve clinical decisions by systematically analyzing routine medical images.

摘要

背景

免疫检查点抑制剂(ICIs)已成为非小细胞肺癌(NSCLC)治疗中最有前途的一线治疗方法之一。然而,只有一部分患者对 ICIs 有反应,这凸显了临床需要开发更好的预测和预后生物标志物。本研究将利用治疗前的影像特征,为接受一线免疫治疗的 NSCLC 患者建立生存风险模型。

方法

从两个机构中回顾性地确定了 149 名接受一线 ICI 治疗的晚期 NSCLC 患者。从治疗前的影像扫描中提取放射组学特征,用于构建无进展生存期(PFS)和总生存期(OS)的预测模型。利用了五种特征选择方法和七种机器学习方法的综合方法来构建生存风险模型。采用一致性指数(C-index)来评估模型性能。

结果

从结果中,我们发现几种机器学习算法和特征选择方法的组合可以达到相似的性能。K-最近邻(KNN)与 ReliefF(RL)特征选择是预测 PFS 的最佳模型(在发现和验证队列中的 C-index 分别为 0.61 和 0.604),而 XGBoost 与互信息(MI)特征选择是预测 OS 的最佳模型(在发现和验证队列中的 C-index 分别为 0.7 和 0.655)。

结论

本研究的结果强调了实施适当的特征选择方法并结合机器学习策略来开发稳健的生存模型的重要性。在有外部队列时进一步验证这些模型,如果可行,这有可能通过系统地分析常规医学图像来改善临床决策。

https://cdn.ncbi.nlm.nih.gov/pmc/blobs/65fb/10777540/630908b5c6f5/12967_2024_4854_Fig1_HTML.jpg

文献AI研究员

20分钟写一篇综述,助力文献阅读效率提升50倍。

立即体验

用中文搜PubMed

大模型驱动的PubMed中文搜索引擎

马上搜索

文档翻译

学术文献翻译模型,支持多种主流文档格式。

立即体验