Suppr超能文献

一种将甘油基-(9,10-三氧杂环戊烷)-三亚油酸酯掺入聚乳酸/聚己内酯共混物用于生物医学和包装的新方法。

A Novel Approach for Glycero-(9,10-trioxolane)-Trialeate Incorporation into Poly(lactic acid)/Poly(ɛ-caprolactone) Blends for Biomedicine and Packaging.

作者信息

Alexeeva Olga V, Olkhov Anatoliy A, Konstantinova Marina L, Podmasterev Vyacheslav V, Petrova Tuyara V, Martirosyan Levon Yu, Karyagina Olga K, Kozlov Sergey S, Lomakin Sergey M, Tretyakov Ilya V, Siracusa Valentina, Iordanskii Alexey L

机构信息

Emanuel Institute of Biochemical Physics of Russian Academy of Sciences, 119334 Moscow, Russia.

N.N. Semenov Federal Research Center for Chemical Physics Russian Academy of Sciences, 119991 Moscow, Russia.

出版信息

Polymers (Basel). 2023 Dec 30;16(1):128. doi: 10.3390/polym16010128.

Abstract

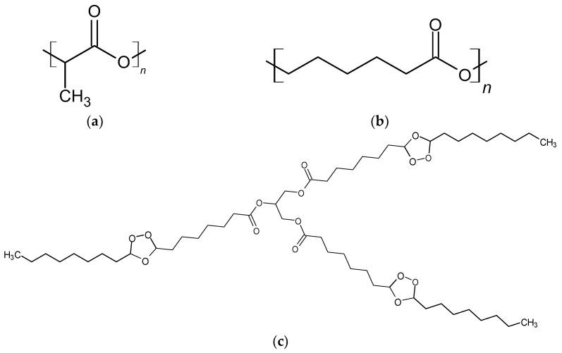
The product of ozonolysis, glycero-(9,10-trioxolane)-trioleate (ozonide of oleic acid triglyceride, [OTOA]), was incorporated into polylactic acid/polycaprolactone (PLA/PCL) blend films in the amount of 1, 5, 10, 20, 30 and 40% /. The morphological, mechanical, thermal and antibacterial properties of the biodegradable PLA/PCL films after the OTOA addition were studied. According to DSC and XRD data, the degree of crystallinity of the PLA/PCL + OTOA films showed a general decreasing trend with an increase in OTOA content. Thus, a significant decrease from 34.0% for the reference PLA/PCL film to 15.7% for the PLA/PCL + 40% OTOA film was established using DSC. Observed results could be explained by the plasticizing effect of OTOA. On the other hand, the PLA/PCL film with 20% OTOA does not follow this trend, showing an increase in crystallinity both via DSC (20.3%) and XRD (34.6%). OTOA molecules, acting as a plasticizer, reduce the entropic barrier for nuclei formation, leading to large number of PLA spherulites in the plasticized PLA/PCL matrix. In addition, OTOA molecules could decrease the local melt viscosity at the vicinity of the growing lamellae, leading to faster crystal growth. Morphological analysis showed that the structure of the films with an OTOA concentration above 20% drastically changed. Specifically, an interface between the PLA/PCL matrix and OTOA was formed, thereby forming a capsule with the embedded antibacterial agent. The moisture permeability of the resulting PLA/PCL + OTOA films decreased due to the formation of uniformly distributed hydrophobic amorphous zones that prevented water penetration. This architecture affects the tensile characteristics of the films: strength decreases to 5.6 MPa, elastic modulus E by 40%. The behavior of film elasticity is associated with the redistribution of amorphous regions in the matrix. Additionally, PLA/PCL + OTOA films with 20, 30 and 40% of OTOA showed good antibacterial properties on , () and , making the developed films potentially promising materials for wound-dressing applications.

摘要

臭氧分解产物甘油 -(9,10 - 三氧杂环戊烷)- 三油酸酯(油酸甘油三酯的臭氧化物,[OTOA])以1%、5%、10%、20%、30%和40%的比例掺入聚乳酸/聚己内酯(PLA/PCL)共混薄膜中。研究了添加OTOA后可生物降解的PLA/PCL薄膜的形态、力学、热学和抗菌性能。根据差示扫描量热法(DSC)和X射线衍射(XRD)数据,PLA/PCL + OTOA薄膜的结晶度随着OTOA含量的增加总体呈下降趋势。因此,使用DSC测定,参考PLA/PCL薄膜的结晶度从34.0%显著下降至PLA/PCL + 40% OTOA薄膜的15.7%。观察到的结果可以用OTOA的增塑作用来解释。另一方面,含20% OTOA的PLA/PCL薄膜并不遵循这一趋势,通过DSC(20.3%)和XRD(34.6%)均显示结晶度增加。作为增塑剂的OTOA分子降低了成核的熵垒,导致在增塑的PLA/PCL基质中形成大量PLA球晶。此外,OTOA分子可以降低生长片晶附近的局部熔体粘度,从而使晶体生长更快。形态分析表明,OTOA浓度高于20%的薄膜结构发生了显著变化。具体而言,在PLA/PCL基质和OTOA之间形成了界面,从而形成了含有嵌入式抗菌剂的胶囊。由于形成了防止水渗透的均匀分布的疏水无定形区域,所得PLA/PCL + OTOA薄膜的透湿性降低。这种结构影响了薄膜的拉伸特性:强度降至5.6 MPa,弹性模量E降低40%。薄膜弹性行为与基质中非晶区域的重新分布有关。此外,含20%、30%和40% OTOA的PLA/PCL + OTOA薄膜在 、 ()和 上表现出良好的抗菌性能,使得所开发的薄膜成为伤口敷料应用中潜在的有前景材料。

https://cdn.ncbi.nlm.nih.gov/pmc/blobs/185e/10780447/cffc7b55379f/polymers-16-00128-g001.jpg

文献AI研究员

20分钟写一篇综述,助力文献阅读效率提升50倍。

立即体验

用中文搜PubMed

大模型驱动的PubMed中文搜索引擎

马上搜索

文档翻译

学术文献翻译模型,支持多种主流文档格式。

立即体验