Suppr超能文献

肌肉减少症与站立时血压恢复之间关系的血流动力学参数

Haemodynamic Parameters Underlying the Relationship between Sarcopenia and Blood Pressure Recovery on Standing.

作者信息

Duggan Eoin, Knight Silvin P, Xue Feng, Romero-Ortuno Roman

机构信息

Discipline of Medical Gerontology, School of Medicine, Trinity College Dublin, D02 R590 Dublin, Ireland.

Falls and Syncope Unit (FASU), Mercer's Institute for Successful Ageing, St James's Hospital, D08 KC95 Dublin, Ireland.

出版信息

J Clin Med. 2023 Dec 19;13(1):18. doi: 10.3390/jcm13010018.

Abstract

BACKGROUND

Sarcopenia, delayed blood pressure (BP) recovery following standing, and orthostatic hypotension (OH) pose significant clinical challenges associated with ageing. While prior studies have established a link between sarcopenia and impaired BP recovery and OH, the underlying haemodynamic mechanisms remain unclear.

METHODS

We enrolled 107 participants aged 50 and above from a falls and syncope clinic, conducting an active stand test with continuous non-invasive haemodynamic measurements. Hand grip strength and five-chair stand time were evaluated, and muscle mass was estimated using bioelectrical impedance analysis. Participants were categorised as non-sarcopenic or sarcopenic. Employing mixed-effects linear regression, we modelled the effect of sarcopenia on mean arterial pressure and heart rate after standing, as well as Modelflow-derived parameters such as cardiac output, total peripheral resistance, and stroke volume, while adjusting for potential confounders.

RESULTS

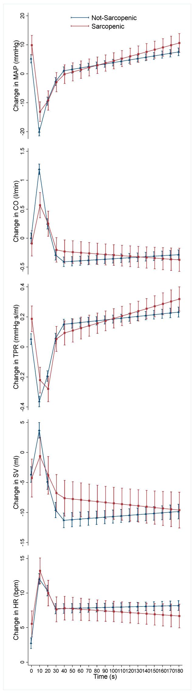
Sarcopenia was associated with diminished recovery of mean arterial pressure during the 10-20 s period post-standing (β -0.67, < 0.001). It also resulted in a reduced ascent to peak (0-10 s) and recovery from peak (10-20 s) of cardiac output (β -0.05, < 0.001; β 0.06, < 0.001). Furthermore, sarcopenia was associated with attenuated recovery (10-20 s) of total peripheral resistance from nadir (β -0.02, < 0.001) and diminished recovery from peak (10-20 s) of stroke volume (β 0.54, < 0.001). Notably, heart rate did not exhibit a significant association with sarcopenia status at any time interval post-standing.

CONCLUSION

The compromised BP recovery observed in sarcopenia appears to be driven by an initial reduction in the peak of cardiac output, followed by attenuated recovery of cardiac output from its peak and total peripheral resistance from its nadir. This cardiac output finding seems to be influenced by stroke volume rather than heart rate. Possible mechanisms for these findings include cardio-sarcopenia, the impact of sarcopenia on the autonomic nervous system, and/or the skeletal muscle pump.

摘要

背景

肌肉减少症、站立后血压(BP)恢复延迟以及直立性低血压(OH)是与衰老相关的重大临床挑战。虽然先前的研究已经建立了肌肉减少症与血压恢复受损和直立性低血压之间的联系,但其潜在的血液动力学机制仍不清楚。

方法

我们从一家跌倒与晕厥诊所招募了107名年龄在50岁及以上的参与者,进行了一项主动站立测试,并持续进行无创血液动力学测量。评估了握力和从五把椅子上站起的时间,并使用生物电阻抗分析估计肌肉量。参与者被分为非肌肉减少症组或肌肉减少症组。采用混合效应线性回归,我们在调整潜在混杂因素的同时,模拟了肌肉减少症对站立后平均动脉压和心率的影响,以及模型流导出的参数,如心输出量、总外周阻力和每搏输出量。

结果

肌肉减少症与站立后10 - 20秒期间平均动脉压恢复减弱相关(β -0.67,P < 0.001)。它还导致心输出量上升至峰值(0 - 10秒)和从峰值恢复(10 - 20秒)减少(β -0.05,P < 0.001;β 0.06,P < 0.001)。此外,肌肉减少症与总外周阻力从最低点恢复(10 - 20秒)减弱(β -0.02,P < 0.001)和每搏输出量从峰值恢复(10 - 二十秒)减少(β 0.54,P < 0.001)相关。值得注意的是,在站立后的任何时间间隔,心率与肌肉减少症状态均无显著关联。

结论

在肌肉减少症中观察到的血压恢复受损似乎是由心输出量峰值最初降低,随后心输出量从峰值恢复以及总外周阻力从最低点恢复减弱所驱动。这一心输出量的发现似乎受每搏输出量而非心率的影响。这些发现的可能机制包括心肌减少症、肌肉减少症对自主神经系统的影响和/或骨骼肌泵。

https://cdn.ncbi.nlm.nih.gov/pmc/blobs/f44c/10779883/e6a632232153/jcm-13-00018-g001.jpg

文献AI研究员

20分钟写一篇综述,助力文献阅读效率提升50倍。

立即体验

用中文搜PubMed

大模型驱动的PubMed中文搜索引擎

马上搜索

文档翻译

学术文献翻译模型,支持多种主流文档格式。

立即体验