Suppr超能文献

小而密低密度脂蛋白胆固醇与高密度脂蛋白胆固醇比值升高与中国 2 型糖尿病患者代谢功能障碍相关脂肪性肝病风险增加相关。

Elevated small dense low-density lipoprotein cholesterol to high-density lipoprotein cholesterol ratio is associated with an increased risk of metabolic dysfunction associated fatty liver disease in Chinese patients with type 2 diabetes mellitus.

机构信息

Department of Gastroenterology, The Second Affiliated Hospital and Yuying Children's Hospital of Wenzhou Medical University, Wenzhou, China.

Department of Endocrinology, The Second Affiliated Hospital and Yuying Children's Hospital of Wenzhou Medical University, Wenzhou, China.

出版信息

J Diabetes Investig. 2024 May;15(5):634-642. doi: 10.1111/jdi.14148. Epub 2024 Jan 22.

Abstract

INTRODUCTION

It is demonstrated that elevated small dense low-density lipoprotein cholesterol (sdLDL-C), and reduced high-density lipoprotein cholesterol (HDL-C) is associated with Metabolic dysfunction-associated fatty liver disease (MAFLD). This study aims to explore the relationship between sdLDL-C to HDL-C ratio (SHR) and MAFLD in Chinese patients with type 2 diabetes mellitus (T2DM).

MATERIALS AND METHODS

A cross-sectional study was performed among 1904 patients with T2DM. Weighted multivariable logistic regression analysis was conducted to explore the relationship between the SHR and the risk of MAFLD. In addition, this study used a two-part linear regression model to identify threshold effects. Subgroup analysis, interaction tests and receiver operating characteristic (ROC) curve analysis were also carried out.

RESULTS

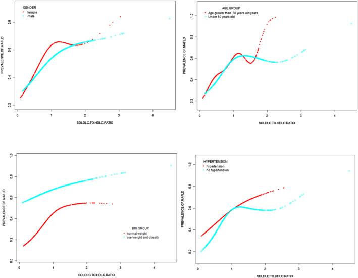
The overall MAFLD prevalence reached 48.1%. Multiple logistic regression analysis showed that SHR was positively correlated with the risk of MAFLD (OR = 2.37, 95% CI = 1.80-3.12). Subgroup analysis stratified by age, gender, hypertension and BMI showed that there was a consistent positive correlation. A non-linear relationship and saturation effect between SHR and MAFLD risk were identified, with an inverted L shaped curve and an inflection point at 1.02. The area under the curve (AUC) for SHR in the ROC analysis was significantly greater than sdLDL-C and HDL-C, with a sensitivity of 71.2% and a specificity of 62.1%.

CONCLUSIONS

Elevated levels of SHR is independently associated with an increased risk of MAFLD in patients with T2DM. SHR may be taken as practical indicators to assess the risk of MAFLD in T2DM patients.

摘要

简介

研究表明,小而密的低密度脂蛋白胆固醇(sdLDL-C)升高和高密度脂蛋白胆固醇(HDL-C)降低与代谢相关脂肪性肝病(MAFLD)有关。本研究旨在探讨中国 2 型糖尿病(T2DM)患者 sdLDL-C 与高密度脂蛋白胆固醇比值(SHR)与 MAFLD 的关系。

材料与方法

对 1904 例 T2DM 患者进行横断面研究。采用加权多变量逻辑回归分析探讨 SHR 与 MAFLD 风险的关系。此外,本研究还采用两部分线性回归模型来确定阈值效应。进行了亚组分析、交互检验和受试者工作特征(ROC)曲线分析。

结果

总体 MAFLD 患病率达到 48.1%。多因素逻辑回归分析显示,SHR 与 MAFLD 风险呈正相关(OR=2.37,95%CI=1.80-3.12)。按年龄、性别、高血压和 BMI 分层的亚组分析显示,两者之间存在一致的正相关关系。SHR 与 MAFLD 风险之间存在非线性关系和饱和效应,呈倒 L 型曲线,拐点为 1.02。ROC 分析中 SHR 的曲线下面积(AUC)明显大于 sdLDL-C 和 HDL-C,其灵敏度为 71.2%,特异性为 62.1%。

结论

升高的 SHR 水平与 T2DM 患者 MAFLD 风险增加独立相关。SHR 可作为评估 T2DM 患者 MAFLD 风险的实用指标。

https://cdn.ncbi.nlm.nih.gov/pmc/blobs/dca9/11060163/7e501f96050b/JDI-15-634-g001.jpg

文献AI研究员

20分钟写一篇综述,助力文献阅读效率提升50倍。

立即体验

用中文搜PubMed

大模型驱动的PubMed中文搜索引擎

马上搜索

文档翻译

学术文献翻译模型,支持多种主流文档格式。

立即体验