Suppr超能文献

对种皮颜色不同的亚麻优良品系进行质量评估及其在食品和工业应用中的潜在用途。

Quality assessment of flax advanced breeding lines varying in seed coat color and their potential use in the food and industrial applications.

机构信息

Department of Agronomy and Plant Breeding, College of Agriculture, Isfahan University of Technology, Isfahan, Isfahan, 84156-83111, Iran.

出版信息

BMC Plant Biol. 2024 Jan 23;24(1):60. doi: 10.1186/s12870-024-04733-1.

Abstract

BACKGROUND

With the increasing consumer awareness of the strong relationship between food and health, flax became a promising functional food due to its bioactive nutraceutical composition. Intra-specific crosses of eight contrasting flax genotypes were performed previously, and within segregating F6 progeny families, we investigated a close-up composition of phytochemicals derived from whole seeds.

RESULTS

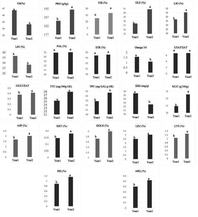
The considerable genetic variation among the flax F6 families suggested that intra-specific hybridization is essential in flax breeding to obtain and broaden genetic variability and largely affirmed the opportunity for selecting promising lines. Also, significant variations in the targeted metabolite contents and antioxidant properties were observed among brown and yellow-seeded families. Notably, brown-seeded families expressed the highest average values of saturated fatty acids, protein, fiber, tocopherol, phenolics, SDG, and SECO lignans. Yellow-seeded families represented the highest average content of unsaturated fatty acids and mucilage. The cultivation year significantly affects flaxseed's composition and functional properties, presumably due to temperature, humidity, and sunshine time differences. Interestingly, the seeds obtained in warmer conditions were more potent and had more chemical constituents. The favorable genetic correlations among all evaluated traits suggest the possibility of joint genetic selection for several nutritional and phytochemical characteristics in flax. The current study highlights the importance and utilization of 19 top families as their seeds and oil play imperative roles in the pharmaceuticals and food industries. The antioxidant capacity of the seeds showed that families 84B, 23B, 35Y, 95Y, 30B, 88B, and 78B serve as a natural source of dietary antioxidants beneficial to human health. To increase the oxidative stability of the flaxseed oil, the quality evaluation identified some families with low levels of linolenic acid.

CONCLUSIONS

These findings are essential to improving flaxseed's nutritional quality and therapeutic properties through a bulk breeding program.

摘要

背景

随着消费者越来越意识到食物与健康之间的紧密关系,亚麻因其具有生物活性的营养成分而成为一种有前途的功能性食品。先前进行了 8 个对照亚麻基因型的种内杂交,在分离的 F6 后代家族中,我们研究了来自全种子的植物化学物质的近距离组成。

结果

亚麻 F6 家族之间存在相当大的遗传变异,表明种内杂交对于获得和拓宽遗传变异是必不可少的,这在很大程度上肯定了选择有前途品系的机会。此外,棕色和黄色种子家族的目标代谢物含量和抗氧化性能也存在显著差异。值得注意的是,棕色种子家族表达了最高的平均饱和脂肪酸、蛋白质、纤维、生育酚、酚类、SDG 和 SECO 木质素含量。黄色种子家族代表了最高的不饱和脂肪酸和黏液质含量。种植年份显著影响亚麻籽的组成和功能特性,这可能是由于温度、湿度和日照时间的差异。有趣的是,在温暖条件下获得的种子更有效,含有更多的化学成分。所有评估性状之间的有利遗传相关性表明,在亚麻中联合遗传选择几种营养和植物化学特性的可能性。本研究强调了 19 个顶级家族的重要性和利用,因为它们的种子和油在制药和食品工业中起着重要作用。种子的抗氧化能力表明,84B、23B、35Y、95Y、30B、88B 和 78B 等家族可作为有益于人类健康的膳食抗氧化剂的天然来源。为了提高亚麻籽油的氧化稳定性,质量评估确定了一些亚油酸水平较低的家族。

结论

这些发现对于通过批量育种计划提高亚麻籽的营养价值和治疗特性至关重要。

https://cdn.ncbi.nlm.nih.gov/pmc/blobs/e611/10804595/2ae505905fa6/12870_2024_4733_Fig1_HTML.jpg

文献AI研究员

20分钟写一篇综述,助力文献阅读效率提升50倍。

立即体验

用中文搜PubMed

大模型驱动的PubMed中文搜索引擎

马上搜索

文档翻译

学术文献翻译模型,支持多种主流文档格式。

立即体验