Suppr超能文献

超级增强子衍生标志物对骨肉瘤生存和肺转移的预后和预测价值。

Prognostic and predictive value of super-enhancer-derived signatures for survival and lung metastasis in osteosarcoma.

机构信息

Department of Musculoskeletal Oncology, The First Affiliated Hospital of Sun Yat-Sen University, Guangzhou, 510080, China.

Department of Orthopedics, Jishuitan Hospital of Beijing, Beijing, China.

出版信息

J Transl Med. 2024 Jan 22;22(1):88. doi: 10.1186/s12967-024-04902-8.

Abstract

BACKGROUND

Risk stratification and personalized care are crucial in managing osteosarcoma due to its complexity and heterogeneity. However, current prognostic prediction using clinical variables has limited accuracy. Thus, this study aimed to explore potential molecular biomarkers to improve prognostic assessment.

METHODS

High-throughput inhibitor screening of 150 compounds with broad targeting properties was performed and indicated a direction towards super-enhancers (SEs). Bulk RNA-seq, scRNA-seq, and immunohistochemistry (IHC) were used to investigate SE-associated gene expression profiles in osteosarcoma cells and patient tissue specimens. Data of 212 osteosarcoma patients who received standard treatment were collected and randomized into training and validation groups for retrospective analysis. Prognostic signatures and nomograms for overall survival (OS) and lung metastasis-free survival (LMFS) were developed using Cox regression analyses. The discriminatory power, calibration, and clinical value of nomograms were evaluated.

RESULTS

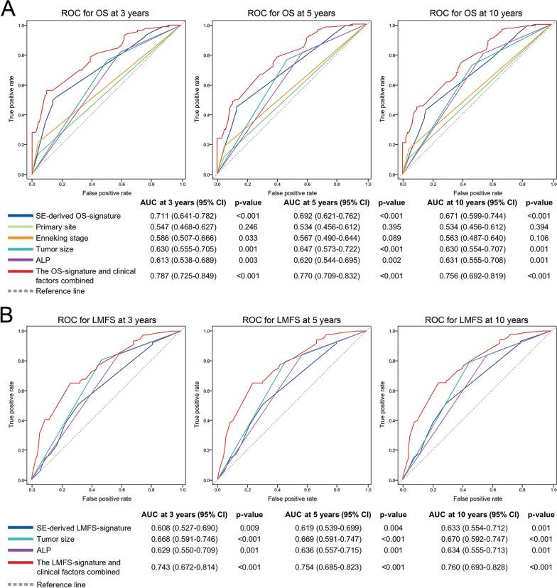
High-throughput inhibitor screening showed that SEs significantly contribute to the oncogenic transcriptional output in osteosarcoma. Based on this finding, focus was given to 10 SE-associated genes with distinct characteristics and potential oncogenic function. With multi-omics approaches, the hyperexpression of these genes was observed in tumor cell subclusters of patient specimens, which were consistently correlated with poor outcomes and rapid metastasis, and the majority of these identified SE-associated genes were confirmed as independent risk factors for poor outcomes. Two molecular signatures were then developed to predict survival and occurrence of lung metastasis: the SE-derived OS-signature (comprising LACTB, CEP55, SRSF3, TCF7L2, and FOXP1) and the SE-derived LMFS-signature (comprising SRSF3, TCF7L2, FOXP1, and APOLD1). Both signatures significantly improved prognostic accuracy beyond conventional clinical factors.

CONCLUSIONS

Oncogenic transcription driven by SEs exhibit strong associations with osteosarcoma outcomes. The SE-derived signatures developed in this study hold promise as prognostic biomarkers for predicting OS and LMFS in patients undergoing standard treatments. Integrative prognostic models that combine conventional clinical factors with these SE-derived signatures demonstrate substantially improved accuracy, and have the potential to facilitate patient counseling and individualized management.

摘要

背景

由于骨肉瘤的复杂性和异质性,风险分层和个性化护理至关重要。然而,目前使用临床变量进行的预后预测准确性有限。因此,本研究旨在探索潜在的分子生物标志物以改善预后评估。

方法

对 150 种具有广泛靶向特性的化合物进行高通量抑制剂筛选,结果表明其方向指向超级增强子(SEs)。对骨肉瘤细胞和患者组织标本进行批量 RNA-seq、scRNA-seq 和免疫组织化学(IHC)检测,以研究 SE 相关基因表达谱。收集 212 名接受标准治疗的骨肉瘤患者的数据,并将其随机分为训练组和验证组进行回顾性分析。使用 Cox 回归分析建立总生存期(OS)和无肺转移生存期(LMFS)的预后特征和列线图。评估列线图的区分度、校准度和临床价值。

结果

高通量抑制剂筛选表明,SEs 显著促进骨肉瘤的致癌转录输出。基于这一发现,研究重点放在了 10 个具有独特特征和潜在致癌功能的 SE 相关基因上。通过多组学方法,在患者标本的肿瘤细胞亚群中观察到这些基因的高表达,这些基因与不良预后和快速转移一致相关,并且其中大多数鉴定的 SE 相关基因被确认为不良预后的独立危险因素。然后开发了两个用于预测生存和发生肺转移的分子特征:SE 衍生的 OS 特征(包含 LACTB、CEP55、SRSF3、TCF7L2 和 FOXP1)和 SE 衍生的 LMFS 特征(包含 SRSF3、TCF7L2、FOXP1 和 APOLD1)。这两个特征均显著提高了常规临床因素之外的预后准确性。

结论

SE 驱动的致癌转录与骨肉瘤的结局密切相关。本研究中开发的 SE 衍生特征有望成为预测标准治疗患者 OS 和 LMFS 的预后生物标志物。将常规临床因素与这些 SE 衍生特征相结合的综合预后模型显著提高了准确性,并且有可能为患者咨询和个体化管理提供便利。

https://cdn.ncbi.nlm.nih.gov/pmc/blobs/a1ff/10801997/f5ac020bebb0/12967_2024_4902_Fig1_HTML.jpg

文献AI研究员

20分钟写一篇综述,助力文献阅读效率提升50倍。

立即体验

用中文搜PubMed

大模型驱动的PubMed中文搜索引擎

马上搜索

文档翻译

学术文献翻译模型,支持多种主流文档格式。

立即体验