Suppr超能文献

芴甲氧羰基(Fmoc)的正交脱保护策略可实现对敏感肽的优化合成:应用于Z-精氨酸-赖氨酸-奥曲肽类似物(Z-Arg-Lys-AOMK)。

Orthogonal Deprotection Strategy of Fmoc Provides Improved Synthesis of Sensitive Peptides: Application to Z-Arg-Lys-AOMK.

作者信息

Almaliti Jehad, Alhindy Momen, Yoon Michael C, Hook Vivian, Molinski Tadeusz F, O'Donoghue Anthony J, Gerwick William H

机构信息

Department Pharmaceutical Sciences, College of Pharmacy, The University of Jordan, Amman 11942, Jordan.

Center for Marine Biotechnology and Biomedicine, Scripps Institution of Oceanography, University of California San Diego, 9500 Gilman Drive, La Jolla, California 92093, United States.

出版信息

ACS Omega. 2024 Jan 5;9(3):3997-4003. doi: 10.1021/acsomega.3c08629. eCollection 2024 Jan 23.

Abstract

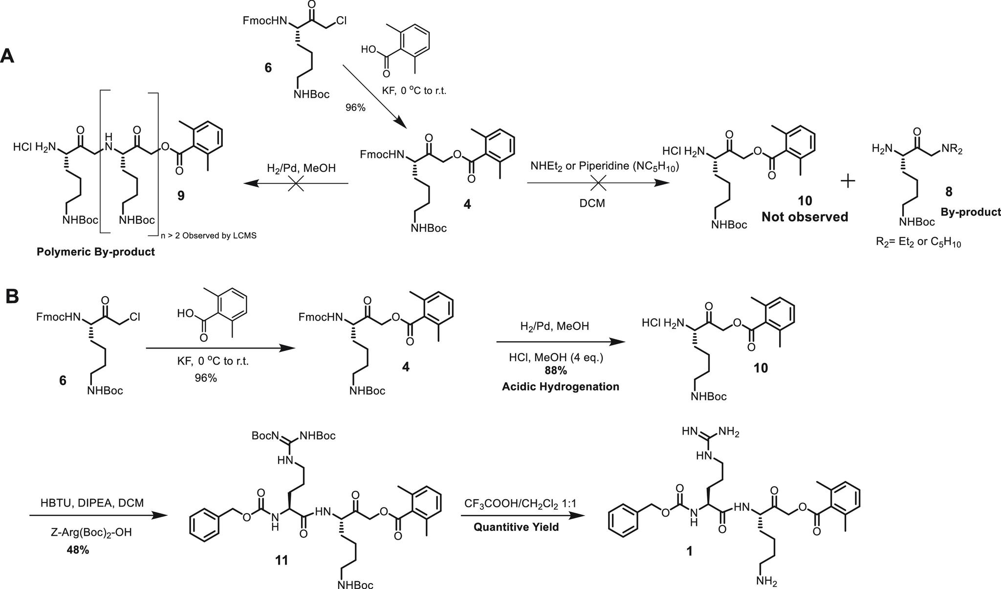
Protecting groups (PGs) in peptide synthesis have inspired advanced design principles that incorporate "orthogonality" for selective C- and N-terminus and side-chain deprotections. The conventionally acid-stable 9-fluorenylmethoxycarbonyl (Fmoc) group is one of the most widely used N-protection groups in solid- and solution-phase synthesis. Despite the versatility of Fmoc, deprotection by the removal of the Fmoc group to unmask primary amines requires the use of a basic secondary amine nucleophile, but this stratagem poses challenges in sensitive molecules that bear reactive electrophilic groups. An expansion of PG versatility, a tunable orthogonality, in the late-stage synthesis of peptides would add flexibility to the synthetic design and implementation. Here, we report a novel Fmoc deprotection method using hydrogenolysis under mildly acidic conditions for the synthesis of Z-Arg-Lys-acyloxymethyl ketone (Z-R-K-AOMK). This new method is not only valuable for Fmoc deprotection in the synthesis of complex peptides that contain highly reactive electrophiles, or other similar sensitive functional groups, that are incompatible with traditional Fmoc deprotection conditions but also tolerant of N-Boc groups present in the substrate.

摘要

肽合成中的保护基团(PGs)激发了先进的设计原则,这些原则引入了“正交性”以实现对C端和N端以及侧链的选择性脱保护。传统上对酸稳定的9-芴甲氧羰基(Fmoc)基团是固相和溶液相合成中使用最广泛的N-保护基团之一。尽管Fmoc具有通用性,但通过去除Fmoc基团来脱保护以暴露伯胺需要使用碱性仲胺亲核试剂,但这种策略在带有反应性亲电基团的敏感分子中带来了挑战。在肽的后期合成中扩展PG的通用性,即可调谐的正交性,将为合成设计和实施增加灵活性。在此,我们报道了一种在温和酸性条件下使用氢解进行Fmoc脱保护的新方法,用于合成Z-精氨酸-赖氨酸-酰氧基甲基酮(Z-R-K-AOMK)。这种新方法不仅对于合成含有与传统Fmoc脱保护条件不相容的高反应性亲电试剂或其他类似敏感官能团的复杂肽中的Fmoc脱保护很有价值,而且还耐受底物中存在的N-Boc基团。

https://cdn.ncbi.nlm.nih.gov/pmc/blobs/19a4/10809369/3592e424b805/ao3c08629_0001.jpg

文献AI研究员

20分钟写一篇综述,助力文献阅读效率提升50倍。

立即体验

用中文搜PubMed

大模型驱动的PubMed中文搜索引擎

马上搜索

文档翻译

学术文献翻译模型,支持多种主流文档格式。

立即体验