Suppr超能文献

有害外来植物物种的入侵机制

The Invasive Mechanisms of the Noxious Alien Plant Species .

作者信息

Kato-Noguchi Hisashi, Kurniadie Denny

机构信息

Department of Applied Biological Science, Faculty of Agriculture, Kagawa University, Miki, Kagawa 761-0795, Japan.

Department of Agronomy, Faculty of Agriculture, Universitas Padjadjaran, Jalan Raya Bandung Sumedang Km 21, Jatinangor, Sumedang 45363, Jawa Barat, Indonesia.

出版信息

Plants (Basel). 2024 Jan 25;13(3):356. doi: 10.3390/plants13030356.

Abstract

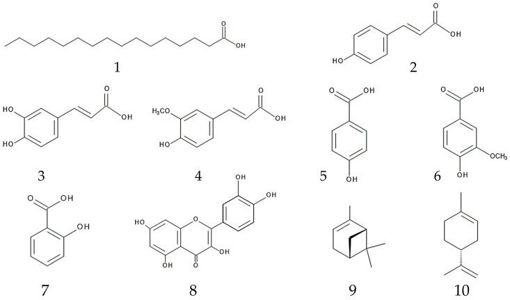
L. is native to tropical America and has widely naturized from tropical to warm temperate regions in Europe, Africa, Asia, Australia, and North and South America. The species has infested a wide range of habitats such as grasslands, forests, wetlands, streamlines, coastal areas, pasture, plantations, agricultural fields, roadsides, and railway sides and has become a noxious invasive weed species. forms thick monospecific stands, quickly expands, and threatens the indigenous plant species and crop production. It is also involved in pathogen transmission as a vector. The species was reported to have (1) a high growth ability, producing several generations in a year; (2) a high achene production rate; (3) different biotypes of cypselae, differently germinating given the time and condition; (4) a high adaptative ability to various environmental conditions; (5) an ability to alter the microbial community, including mutualism with arbuscular mycorrhizal fungi; and (6) defense functions against natural enemies and allelopathy. The species produces several potential allelochemicals such as palmitic acid, -coumaric acid, caffeic acid, ferulic acid, -hydroxybenzoic acid, vanillic acid, salycilic acid, quercetin, α-pinene, and limonene and compounds involved in the defense functions such as 1-phenylhepta-1,3,5-trine, 5-phenyl-2-(1-propynyl)-thiophene, 5-actoxy-2-phenylethinyl-thiophene, and icthyothereol acetate. These characteristics of may contribute to the naturalization and invasiveness of the species in the introduced ranges. This is the first review article focusing on the invasive mechanisms of the species.

摘要

L.原产于热带美洲,已在欧洲、非洲、亚洲、澳大利亚以及南北美洲从热带到暖温带地区广泛归化。该物种已侵入多种生境,如草原、森林、湿地、溪流、沿海地区、牧场、种植园、农田、路边和铁路沿线,成为一种有害的入侵杂草物种。它形成茂密的单种优势群落,迅速扩张,威胁本土植物物种和作物生产。它还作为媒介参与病原体传播。据报道,该物种具有以下特点:(1)生长能力强,一年能繁殖几代;(2)瘦果产量高;(3)不同类型的瘦果,在不同时间和条件下萌发情况不同;(4)对各种环境条件具有高度适应能力;(5)有能力改变微生物群落,包括与丛枝菌根真菌的共生关系;(6)对天敌的防御功能和化感作用。该物种产生多种潜在的化感物质,如棕榈酸、对香豆酸、咖啡酸、阿魏酸、对羟基苯甲酸、香草酸、水杨酸、槲皮素、α-蒎烯和柠檬烯,以及参与防御功能的化合物,如1-苯基-1,3,5-庚三烯、5-苯基-2-(1-丙炔基)-噻吩、5-乙酰氧基-2-苯乙炔基-噻吩和乙酸异硫氰酸酯。这些特性可能有助于该物种在引入地区的归化和入侵。这是第一篇聚焦该物种入侵机制的综述文章。

https://cdn.ncbi.nlm.nih.gov/pmc/blobs/c9c0/10857670/dfcada78f481/plants-13-00356-g001.jpg

文献AI研究员

20分钟写一篇综述,助力文献阅读效率提升50倍。

立即体验

用中文搜PubMed

大模型驱动的PubMed中文搜索引擎

马上搜索

文档翻译

学术文献翻译模型,支持多种主流文档格式。

立即体验