Suppr超能文献

唾液中脑源性神经营养因子和皮质醇与大学生心理变化有关。

Salivary Brain-Derived Neurotrophic Factor and Cortisol Associated with Psychological Alterations in University Students.

作者信息

Ballestar-Tarín María Luisa, Ibáñez-Del Valle Vanessa, Mafla-España Mayra Alejandra, Navarro-Martínez Rut, Cauli Omar

机构信息

Department of Nursing, University of Valencia, 46010 Valencia, Spain.

Nursing Care and Education Research Group in (GRIECE) GIUV 2019-456, Department of Nursing, University of Valencia, 46010 Valencia, Spain.

出版信息

Diagnostics (Basel). 2024 Feb 18;14(4):447. doi: 10.3390/diagnostics14040447.

Abstract

INTRODUCTION

Recent evidence reported mental health issues in university students such as anxiety and depressive symptoms and poor sleep quality. Decreased plasma brain-derived neurotrophic factor (BDNF) levels have been proposed as a biomarker of depressive symptoms, whereas cortisol levels are an index of energy mobilization and stress and have been linked to sleep quality. Given that salivary biomarkers represent an interesting new field of research, the aim of this cross-sectional study was to evaluate salivary BDNF and cortisol levels in university students to assess whether they have associations with psychological disturbances such as anxiety and depressive symptoms, sleep quality, and stress level.

METHODS

Salivary BDNF and cortisol levels were measured by specific immunoassays in 70 students whose mental health was also evaluated on the same day through the evaluation of anxiety and depression symptoms (Goldberg scale), sleep quality (Pittsburg Sleep Quality Index and Athens Insomnia Scale), and stress (self-perceived stress scale) and healthy lifestyle habits (alcohol consumption, smoking, regular exercise, and body mass index) were also measured. Multivariate regression analyses were performed in order to identify the strengths of associations between psychological alterations and the concentrations of BDNF, cortisol, and other variables.

RESULTS

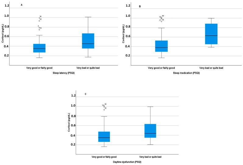
Salivary BDNF levels were significantly higher in students with more depressive symptoms, whereas no significant differences were found for cortisol levels. When performing the binary logistic regression model, BDNF levels are included as a predictor variable for a high-depressive-symptoms burden ( < 0.05). Students with worse sleep quality on the Pittsburg Scale had higher cortisol levels ( < 0.05). The subdomains of sleep latency and sleep medication were those significantly associated with salivary cortisol levels in logistic regression analyses (OR = 15.150, = 0.028). Sleep medication only appeared to be related to cortisol levels (OR = 185.142, = 0.019). Perceived stress levels and anxiety symptoms were not associated with BDNF or cortisol levels.

CONCLUSIONS

BDNF could play a key role in the pathophysiology of mood-related disorders, and elevation of its peripheral levels could contribute to protecting neurons from the development of mental illness. Higher salivary cortisol levels measured in the morning are accompanied by poorer sleep quality. More research is needed, focusing on salivary biomarkers of disorders related to depressive symptoms and poor sleep quality as a potential tool for the diagnosis and prevention of mental illness.

摘要

引言

最近有证据表明,大学生存在心理健康问题,如焦虑、抑郁症状以及睡眠质量差。血浆脑源性神经营养因子(BDNF)水平降低被认为是抑郁症状的生物标志物,而皮质醇水平是能量动员和应激的指标,且与睡眠质量有关。鉴于唾液生物标志物代表了一个有趣的新研究领域,本横断面研究的目的是评估大学生唾液中BDNF和皮质醇水平,以评估它们是否与焦虑、抑郁症状、睡眠质量和应激水平等心理障碍有关。

方法

通过特定免疫测定法测量了70名学生的唾液BDNF和皮质醇水平,同一天还通过评估焦虑和抑郁症状(戈德堡量表)、睡眠质量(匹兹堡睡眠质量指数和雅典失眠量表)以及应激(自我感知应激量表)对他们的心理健康状况进行了评估,同时还测量了健康生活习惯(饮酒、吸烟、定期锻炼和体重指数)。进行多变量回归分析,以确定心理改变与BDNF、皮质醇及其他变量浓度之间关联的强度。

结果

抑郁症状较多的学生唾液BDNF水平显著更高,而皮质醇水平未发现显著差异。在进行二元逻辑回归模型分析时,BDNF水平被纳入高抑郁症状负担的预测变量(<0.05)。匹兹堡量表上睡眠质量较差的学生皮质醇水平较高(<0.05)。在逻辑回归分析中,睡眠潜伏期和助眠药物使用这两个子领域与唾液皮质醇水平显著相关(OR = 15.150, = 0.028)。仅助眠药物使用似乎与皮质醇水平有关(OR = 185.142, = 0.019)。感知应激水平和焦虑症状与BDNF或皮质醇水平无关。

结论

BDNF可能在情绪相关障碍的病理生理学中起关键作用,其外周水平升高可能有助于保护神经元免受精神疾病的影响。早晨测量的较高唾液皮质醇水平与较差的睡眠质量相关。需要更多研究聚焦于与抑郁症状和睡眠质量差相关疾病的唾液生物标志物,将其作为诊断和预防精神疾病的潜在工具。

https://cdn.ncbi.nlm.nih.gov/pmc/blobs/be8e/10887844/33370def0f92/diagnostics-14-00447-g001.jpg

文献AI研究员

20分钟写一篇综述,助力文献阅读效率提升50倍。

立即体验

用中文搜PubMed

大模型驱动的PubMed中文搜索引擎

马上搜索

文档翻译

学术文献翻译模型,支持多种主流文档格式。

立即体验