Suppr超能文献

脂质体和羟丙甲纤维素人工泪液治疗接触镜佩戴者中度干眼的疗效和安全性。

Efficacy and Safety of Artificial Tears Containing Lipidure and Hypromellose for the Treatment of Moderate Dry Eye Disease in Contact Lens Wearers.

机构信息

Faculty of Medicine and Surgery, University of Enna "Kore", Piazza dell'Università, 94100 Enna, Italy.

Eye Clinic, Catania University, San Marco Hospital, Viale Carlo Azeglio Ciampi, 95121 Catania, Italy.

出版信息

Medicina (Kaunas). 2024 Feb 8;60(2):287. doi: 10.3390/medicina60020287.

Abstract

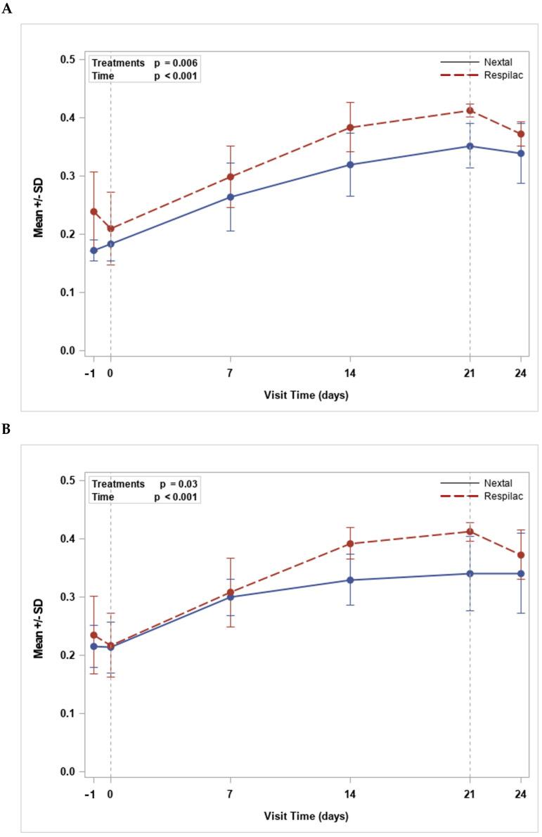
: Dry eye disease (DED) affects 5-50% of the global population and deeply influences everyday life activities. This study compared the efficacy, tolerability, and safety of novel Respilac artificial tears containing lipidure and hypromellose (HPMC) with the widely used Nextal artificial tears, which are also HPMC-based, for the treatment of moderate DED in contact lenses (CL) wearers. : In a prospective, single-center, randomized investigation, 30 patients aged ≥18 years, diagnosed with moderate DED, and wearing CL were randomly assigned to the Respilac ( = 15) or Nextal group ( = 15). Patients self-administrated one drop of Respilac or Nextal in both eyes three times daily for 21 days. Changes in the endpoint (visual analogue scale (VAS) score for ocular tolerability, symptom assessment in dry eye (SANDE) score, non-invasive first break-up time (NIF-BUT) results, tear analysis value, meibography results, and CL tolerability results were assessed, comparing treatment groups and time-point evaluations. Adverse events (AEs) were also recorded and evaluated. : VAS scores decreased with time < 0.001) in both groups, showing no statistically significant difference among them ( = 0.13). Improvements were also detected from screening to end-of-treatment, which were indicated by the SANDE scores for severity and frequency ( < 0.001) and by tear analysis results ( < 0.001) with no observed difference between the Nextal and Respilac arms. NIF-BUT, meibography, and CL tolerability values were shown to be non-significantly affected by treatment and time. There were no AEs detected in this study cohort. : Respilac was confirmed to be effective, safe, and well-tolerated. Lipidure-based ophthalmic solution was shown not to be inferior to the currently used Nextal, however, showing improvements in DED symptoms. Within the existing literature, our study is one of the first to report that MPC plus HPMC-containing eye drops are an effective option for the treatment of moderate dry eye disease and desiccation damage prevention in contact lens wearers.

摘要

干眼症(DED)影响全球 5-50%的人口,并深深影响日常生活活动。本研究比较了含有脂质体和羟丙甲纤维素(HPMC)的新型 Respilac 人工泪液与广泛使用的基于 HPMC 的 Nextal 人工泪液治疗隐形眼镜(CL)佩戴者中度 DED 的疗效、耐受性和安全性。

在一项前瞻性、单中心、随机研究中,30 名年龄≥18 岁、诊断为中度 DED 且佩戴 CL 的患者被随机分配到 Respilac 组(=15)或 Nextal 组(=15)。患者每天自我滴用 Respilac 或 Nextal 各一滴,每天三次,共 21 天。评估终点(眼部耐受性视觉模拟评分(VAS)、干眼症状评估(SANDE)评分、非侵入性首次泪膜破裂时间(NIF-BUT)结果、泪液分析值、睑板腺照相结果和 CL 耐受性结果的变化,比较治疗组和时间点评估。还记录并评估了不良事件(AE)。

两组的 VAS 评分均随时间降低(<0.001),但组间无统计学差异(=0.13)。从筛查到治疗结束,SANDE 评分的严重程度和频率(<0.001)以及泪液分析结果(<0.001)也有改善,Nextal 和 Respilac 组之间没有观察到差异。NIF-BUT、睑板腺照相和 CL 耐受性值不受治疗和时间的影响。本研究队列未发现 AE。

Respilac 被证实有效、安全且耐受良好。基于脂质体的眼用溶液不比目前使用的 Nextal 差,但能改善 DED 症状。在现有文献中,我们的研究是第一个报告 MPC 加 HPMC 滴眼液是治疗中度干眼症和预防隐形眼镜佩戴者干燥损伤的有效选择之一。

https://cdn.ncbi.nlm.nih.gov/pmc/blobs/9665/10890511/bd5fec4153c1/medicina-60-00287-g001.jpg

文献AI研究员

20分钟写一篇综述,助力文献阅读效率提升50倍。

立即体验

用中文搜PubMed

大模型驱动的PubMed中文搜索引擎

马上搜索

文档翻译

学术文献翻译模型,支持多种主流文档格式。

立即体验