Suppr超能文献

乳酸脱氢酶升高可预测自发性脑出血患者是否发生肺炎。

Elevated lactate dehydrogenase predicts pneumonia in spontaneous intracerebral hemorrhage.

作者信息

Xiao Yangchun, He Shuanghong, Cheng Xin, Peng Liyuan, Tian Yixin, Li Tiangui, He Jialing, Hao Pengfei, Chong Weelic, Hai Yang, You Chao, Fang Fang, Peng Zongjun, Zhang Yu

机构信息

Department of Neurosurgery, Clinical Medical College and Affiliated Hospital of Chengdu University, Chengdu, Sichuan, China.

Health Management Center, West China Hospital, Sichuan University, Chengdu, Sichuan, China.

出版信息

Heliyon. 2024 Feb 13;10(4):e26109. doi: 10.1016/j.heliyon.2024.e26109. eCollection 2024 Feb 29.

Abstract

BACKGROUND

Although a variety of risk factors for pneumonia after spontaneous intracerebral hemorrhage have been established, an objective and easily obtainable predictor is still needed. Lactate dehydrogenase is a nonspecific inflammatory biomarker. In this study, we aimed to assess the association between lactate dehydrogenase and pneumonia in spontaneous intracerebral hemorrhage patients.

METHODS

Our study was a retrospective, multicenter cohort study, undertaken in 7562 patients diagnosed with spontaneous intracerebral hemorrhage from 3 hospitals. All serum Lactate dehydrogenase was collected within 7 days from admission and divided into four groups as quartile(Q). We conducted a multivariable logistic regression analysis to assess the association of Lactate dehydrogenase with pneumonia.

RESULTS

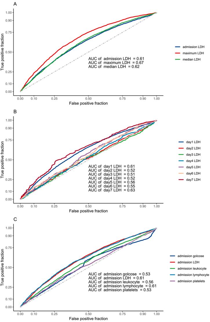
Among a total of 7562 patients, 2971 (39.3%) patients were diagnosed with pneumonia. All grades of elevated lactate dehydrogenase were associated with increased raw and risk-adjusted risk of pneumonia. Multiple logistic regression analysis showed odds ratios for Q2-Q4 compared with Q1 were 1.21 (95% CI, 1.04-1.42), 1.64(95% CI, 1.41-1.92), and 1.92 (95% CI, 1.63-2.25) respectively. The odds ratio after adjustment was 4.42 (95% CI, 2.94-6.64) when lactate dehydrogenase was a continuous variable after log-transformed.

CONCLUSIONS

Elevated lactate dehydrogenase is significantly associated with an increase in the odds of pneumonia and has a predictive value for severe pneumonia in patients with pneumonia. Lactate dehydrogenase may be used to predict pneumonia events in spontaneous intracerebral hemorrhage patients as a laboratory marker.

摘要

背景

尽管自发性脑出血后肺炎的多种危险因素已被确定,但仍需要一个客观且易于获得的预测指标。乳酸脱氢酶是一种非特异性炎症生物标志物。在本研究中,我们旨在评估乳酸脱氢酶与自发性脑出血患者肺炎之间的关联。

方法

我们的研究是一项回顾性多中心队列研究,纳入了来自3家医院的7562例诊断为自发性脑出血的患者。所有血清乳酸脱氢酶均在入院后7天内采集,并分为四个四分位数组(Q)。我们进行了多变量逻辑回归分析,以评估乳酸脱氢酶与肺炎的关联。

结果

在总共7562例患者中,2971例(39.3%)被诊断为肺炎。所有级别的乳酸脱氢酶升高均与肺炎的原始风险和风险调整后风险增加相关。多因素逻辑回归分析显示,与Q1相比,Q2-Q4的比值比分别为1.21(95%CI,1.04-1.42)、1.64(95%CI,1.41-1.92)和1.92(95%CI,1.63-2.25)。当乳酸脱氢酶经对数转换后作为连续变量时,调整后的比值比为4.42(95%CI,2.94-6.64)。

结论

乳酸脱氢酶升高与肺炎发生几率的增加显著相关,对肺炎患者的重症肺炎具有预测价值。乳酸脱氢酶可作为实验室指标用于预测自发性脑出血患者的肺炎事件。

https://cdn.ncbi.nlm.nih.gov/pmc/blobs/bb7f/10884414/f529b801e410/gr1.jpg

文献AI研究员

20分钟写一篇综述,助力文献阅读效率提升50倍。

立即体验

用中文搜PubMed

大模型驱动的PubMed中文搜索引擎

马上搜索

文档翻译

学术文献翻译模型,支持多种主流文档格式。

立即体验