Suppr超能文献

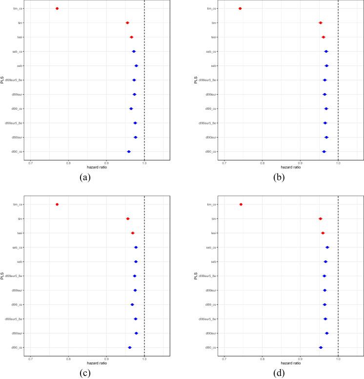
11 种不同的多基因长寿评分与 UK Biobank 中父母寿命和疾病诊断之间的关系。

The relationship between 11 different polygenic longevity scores, parental lifespan, and disease diagnosis in the UK Biobank.

机构信息

Translational Genomics Research Institute (TGen), Phoenix, AZ, USA.

The Institute of Biological Psychiatry, Copenhagen University Hospital, Copenhagen, Denmark.

出版信息

Geroscience. 2024 Aug;46(4):3911-3927. doi: 10.1007/s11357-024-01107-1. Epub 2024 Mar 7.

Abstract

Large-scale genome-wide association studies (GWAS) strongly suggest that most traits and diseases have a polygenic component. This observation has motivated the development of disease-specific "polygenic scores (PGS)" that are weighted sums of the effects of disease-associated variants identified from GWAS that correlate with an individual's likelihood of expressing a specific phenotype. Although most GWAS have been pursued on disease traits, leading to the creation of refined "Polygenic Risk Scores" (PRS) that quantify risk to diseases, many GWAS have also been pursued on extreme human longevity, general fitness, health span, and other health-positive traits. These GWAS have discovered many genetic variants seemingly protective from disease and are often different from disease-associated variants (i.e., they are not just alternative alleles at disease-associated loci) and suggest that many health-positive traits also have a polygenic basis. This observation has led to an interest in "polygenic longevity scores (PLS)" that quantify the "risk" or genetic predisposition of an individual towards health. We derived 11 different PLS from 4 different available GWAS on lifespan and then investigated the properties of these PLS using data from the UK Biobank (UKB). Tests of association between the PLS and population structure, parental lifespan, and several cancerous and non-cancerous diseases, including death from COVID-19, were performed. Based on the results of our analyses, we argue that PLS are made up of variants not only robustly associated with parental lifespan, but that also contribute to the genetic architecture of disease susceptibility, morbidity, and mortality.

摘要

大规模全基因组关联研究(GWAS)强烈表明,大多数特征和疾病都具有多基因成分。这一观察结果促使开发了针对特定疾病的“多基因评分(PGS)”,它是与个体表达特定表型的可能性相关的来自 GWAS 中确定的与疾病相关的变体的加权和。尽管大多数 GWAS 都是针对疾病特征进行的,从而创建了量化疾病风险的精细“多基因风险评分(PRS)”,但许多 GWAS 也针对人类极端长寿、一般健康、健康寿命和其他健康积极特征进行了研究。这些 GWAS 发现了许多似乎对疾病有保护作用的遗传变异,而且通常与疾病相关的变异不同(即它们不仅仅是疾病相关基因座上的替代等位基因),并表明许多健康积极的特征也具有多基因基础。这一观察结果导致了对“多基因长寿评分(PLS)”的兴趣,它量化了个体对健康的“风险”或遗传倾向。我们从 4 项不同的寿命 GWAS 中得出了 11 种不同的 PLS,然后使用英国生物库(UKB)的数据研究了这些 PLS 的特性。对 PLS 与人口结构、父母寿命以及包括 COVID-19 死亡在内的几种癌症和非癌症疾病之间的关联进行了检验。基于我们分析的结果,我们认为 PLS 不仅由与父母寿命高度相关的变体组成,而且还为疾病易感性、发病率和死亡率的遗传结构做出了贡献。

https://cdn.ncbi.nlm.nih.gov/pmc/blobs/dc03/11226417/8a14167c370d/11357_2024_1107_Fig1_HTML.jpg

文献AI研究员

20分钟写一篇综述,助力文献阅读效率提升50倍。

立即体验

用中文搜PubMed

大模型驱动的PubMed中文搜索引擎

马上搜索

文档翻译

学术文献翻译模型,支持多种主流文档格式。

立即体验