Suppr超能文献

采用迷迭香和人参草药植物合成钯、铂及其双金属纳米粒子:抗癌活性评价。

Biosynthesis of palladium, platinum, and their bimetallic nanoparticles using rosemary and ginseng herbal plants: evaluation of anticancer activity.

机构信息

Autophagy Research Center, Department of Biochemistry, School of Medicine, Shiraz University of Medical Sciences, Shiraz, Iran.

Faculty of Chemistry and Petroleum Sciences, Bu-Ali Sina University, Hamedan, Iran.

出版信息

Sci Rep. 2024 Mar 9;14(1):5798. doi: 10.1038/s41598-024-56275-z.

Abstract

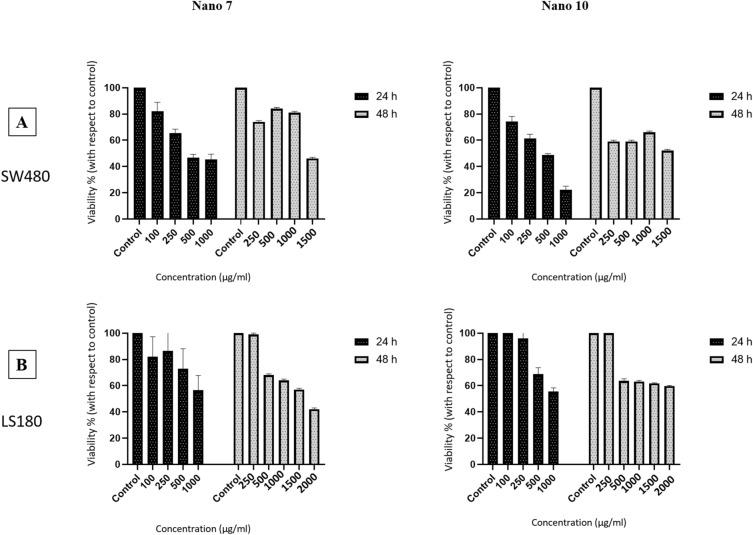
In this research, palladium (II) and platinum (II), as well as their bimetallic nanoparticles were synthesized using medicinal plants in an eco-friendly manner. Rosemary and Ginseng extracts were chosen due to their promising anticancer potential. The synthesized nanoparticles underwent characterization through FT-IR spectroscopy, DLS, XRD, EDX, SEM, and TEM techniques. Once the expected structures were confirmed, the performance of these nanoparticles, which exhibited an optimal size, was evaluated as potential anticancer agents through in vitro method on colon cancer cell lines (Ls180, SW480). MTT assay studies showed that the synthesized nanoparticles induced cell death. Moreover, real-time PCR was employed to investigate autophagy markers and the effect of nanoparticles on the apoptosis process, demonstrating a significant effect of the synthesized compounds in this regard.

摘要

在这项研究中,钯(II)和铂(II)以及它们的双金属纳米粒子是使用药用植物以环保的方式合成的。选择迷迭香和人参提取物是因为它们具有有前途的抗癌潜力。合成的纳米粒子通过傅里叶变换红外光谱、动态光散射、X 射线衍射、能谱、扫描电子显微镜和透射电子显微镜技术进行了表征。一旦确认了预期的结构,就通过体外方法在结肠癌细胞系(Ls180、SW480)上评估了这些表现出最佳尺寸的纳米粒子作为潜在抗癌剂的性能。MTT 测定研究表明,合成的纳米粒子诱导了细胞死亡。此外,还采用实时 PCR 研究了自噬标志物和纳米粒子对凋亡过程的影响,表明合成化合物在这方面具有显著的效果。

https://cdn.ncbi.nlm.nih.gov/pmc/blobs/779b/10925055/405aafb0e772/41598_2024_56275_Fig1_HTML.jpg

文献AI研究员

20分钟写一篇综述,助力文献阅读效率提升50倍。

立即体验

用中文搜PubMed

大模型驱动的PubMed中文搜索引擎

马上搜索

文档翻译

学术文献翻译模型,支持多种主流文档格式。

立即体验