Suppr超能文献

舒巴坦与头孢呋辛或多尼培南联用对. 的协同作用

Synergistic effects of sulopenem in combination with cefuroxime or durlobactam against .

机构信息

Louis Stokes Cleveland VA Medical Center, Case Western Reserve University, Cleveland, Ohio, USA.

Department of Medicine, Case Western Reserve University School of Medicine, Cleveland, Ohio, USA.

出版信息

mBio. 2024 Jun 12;15(6):e0060924. doi: 10.1128/mbio.00609-24. Epub 2024 May 14.

Abstract

UNLABELLED

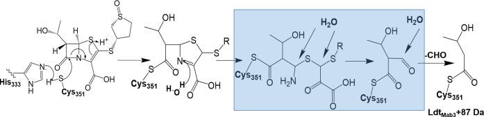
() affects patients with immunosuppression or underlying structural lung diseases such as cystic fibrosis (CF). Additionally, poses clinical challenges due to its resistance to multiple antibiotics. Herein, we investigated the synergistic effect of dual β-lactams [sulopenem and cefuroxime (CXM)] or the combination of sulopenem and CXM with β-lactamase inhibitors [BLIs-avibactam (AVI) or durlobactam (DUR)]. The sulopenem-CXM combination yielded low minimum inhibitory concentration (MIC) values for 54 clinical isolates and ATCC19977 (MIC and MIC ≤0.25 µg/mL). Similar synergistic effects were observed in time-kill studies conducted at concentrations achievable in clinical settings. Sulopenem-CXM outperformed monotherapy, yielding 1.5 Log CFU/mL reduction during 10 days. Addition of BLIs enhanced this antibacterial effect, resulting in an additional reduction of CFUs (3 Log for sulopenem-CXM and AVI and ~4 Log for sulopenem-DUR). Exploration of the potential mechanisms of the synergy focused on their interactions with L,D-transpeptidases (Ldts; Ldt-Ldt), penicillin-binding-protein B (PBP B), and D,D-carboxypeptidase (DDC). Acyl complexes, identified via mass spectrometry analysis, demonstrated the binding of sulopenem with Ldt-Ldt, DDC, and PBP B and CXM with Ldt and PBP B. Molecular docking and mass spectrometry data suggest the formation of a covalent adduct between sulopenem and Ldt after the nucleophilic attack of the cysteine residue at the β-lactam carbonyl carbon, leading to the cleavage of the β-lactam ring and the establishment of a thioester bond linking the Ldt with sulopenem. In conclusion, we demonstrated the biochemical basis of the synergy of sulopenem-CXM with or without BLIs. These findings potentially broaden the selection of oral therapeutic agents to combat .

IMPORTANCE

Treating infections from (Mab), particularly those resistant to common antibiotics like macrolides, is notoriously difficult, akin to a never-ending struggle for healthcare providers. The rate of treatment failure is even higher than that seen with multidrug-resistant tuberculosis. The role of combination β-lactams in inhibiting L,D-transpeptidation, the major peptidoglycan crosslink reaction in Mab, is an area of intense investigation, and clinicians have utilized this approach in the treatment of macrolide-resistant Mab, with reports showing clinical success. In our study, we found that cefuroxime and sulopenem, when used together, display a significant synergistic effect. If this promising result seen in lab settings, translates well into real-world clinical effectiveness, it could revolutionize current treatment methods. This combination could either replace the need for more complex intravenous medications or serve as a "step down" to an oral medication regimen. Such a shift would be much easier for patients to manage, enhancing their comfort and likelihood of sticking to the treatment plan, which could lead to better outcomes in tackling these tough infections. Our research delved into how these drugs inhibit cell wall synthesis, examined time-kill data and binding studies, and provided a scientific basis for the observed synergy in cell-based assays.

摘要

目的

(Mab)引起的感染,特别是对常见抗生素如大环内酯类药物具有耐药性的感染,治疗极具挑战性,这对医疗保健提供者来说是一场永无止境的斗争。治疗失败的比率甚至高于耐多药肺结核。β-内酰胺类药物抑制 L,D-转肽酶的作用(Mab 中主要的肽聚糖交联反应)是一个研究热点,临床医生已经将这一方法应用于治疗大环内酯类耐药的 Mab,有临床成功的报道。在我们的研究中,我们发现头孢呋辛和磺吡酮胺联合使用时具有显著的协同作用。如果这一在实验室中观察到的有前景的结果在现实世界的临床效果中得到很好的体现,那么它可能会彻底改变当前的治疗方法。这种联合治疗可以替代更复杂的静脉内药物治疗,或者作为一种“降级”到口服药物治疗方案。这样的转变对患者来说更容易管理,提高了他们的舒适度和坚持治疗计划的可能性,这可能会导致治疗这些棘手感染的效果更好。我们的研究深入探讨了这些药物如何抑制细胞壁合成,研究了时间杀伤数据和结合研究,并为基于细胞的测定中观察到的协同作用提供了科学依据。

https://cdn.ncbi.nlm.nih.gov/pmc/blobs/140a/11237399/3852233f886a/mbio.00609-24.f001.jpg

文献AI研究员

20分钟写一篇综述,助力文献阅读效率提升50倍。

立即体验

用中文搜PubMed

大模型驱动的PubMed中文搜索引擎

马上搜索

文档翻译

学术文献翻译模型,支持多种主流文档格式。

立即体验